快速傅里叶变换(FFT)

直接DFT的算法的计算:
复乘的次数:N2
复加的次数:N(N-1)

利用FFT(快速算法)计算:
复乘的次数:

复加的次数:

按照时间抽选法FFT,当N=2L时,共有L级蝶形,每级都由N/2个蝶形运算组成
每个蝶形有一次复数乘、两次复数加,总的运算量为(N/2)L次复数乘,NL次复数加。
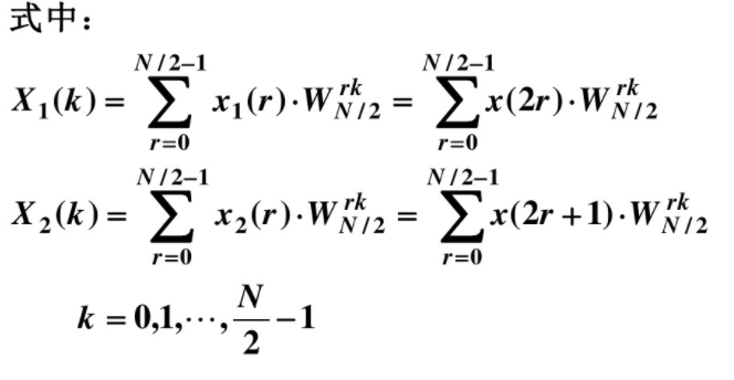
======================================================时域抽取基2FFT算法
1.算法原理
设输入序列长为
(M为正整数),该序列按照时间序列的奇偶分解为越来越短的子序列,称为【基2按时间抽取的FFT算法】
若序列的长度不满足条件
,可以加零补长使其达到![]()
2.算法步骤






一个二次元的生物

浙公网安备 33010602011771号