RSA算法
本文转载自https://zhuanlan.zhihu.com/p/48249182
RSA算法原理
1. 数论基础
1.1 素数
素数又称质数,指在一个大于1的自然数中,除了1和此整数自身外,不能被其他自然数整除的数.
1.2 模运算
"mod",与同余关系密切.
1.3 互质关系
如果两个正整数,除了1以外,没有其他公因子,我们就称这两个数是互质关系(coprime).
1.4 欧拉函数
任意给定正整数n,请问在小于等于n的正整数之中,有多少个与n构成互质关系?(比如,在1到8之中,有多少个数与8构成互质关系?)
计算这个值的方法就叫做欧拉函数,以φ(n)表示。在1到8之中,与8形成互质关系的是1、3、5、7,所以 φ(n) = 4.
(1)n=1,φ(1)=1 (1与任何数互质,包括本身).
(2)如果n是质数,则 φ(n)=n-1 。因为质数与小于它的每一个数,都构成互质关系.
(3)如果n是质数的某一个次方,即 n = p^k (p为质数,k为大于等于1的整数),则φ(p^k) = p^k-p^k-1.
(4)如果n可以分解成两个互质的整数之积 n = p1 × p2,则 φ(n) = φ(p1p2) = φ(p1)φ(p2) 即积的欧拉函数等于各个因子的欧拉函数之积.
(5)欧拉函数的通用计算公式:

1.5 欧拉定理
如果两个正整数a和n互质,则n的欧拉函数 φ(n) 可以让下面的等式成立:(a的φ(n)次方被n除的余数为1)
欧拉定理有一个特殊情况:(这就是著名的费马小定理)
假设正整数a与质数p互质,因为质数p的φ(p)等于p-1,则欧拉定理可以写成

1.6 模反元素
如果两个正整数a和n互质,那么一定可以找到整数b,使得ab-1被n整除,或者说ab被n除的余数是1.

如:3和11互质,那么3的模反元素就是4,因为 (3 × 4)-1 可以被11整除。模反元素不只一个,如果b是a的模反元素,则 b+kn 都是a的模反元素.
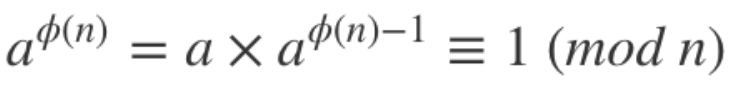
欧拉定理可以用来证明模反元素必然存在:
可以看到,a的 φ(n)-1 次方,就是a的模反元素.
2. RSA算法
2.1 密钥生成步骤
p,q,n,φ(n),e,d
(1)随机选取两个不等质数p,q,n=p×q;
(2)计算n的欧拉函数φ(n) = (p-1)(q-1);
(3)随机选择一个整数e,满足条件1<e<φ(n),且e与φ(n)互质;
(4)计算e对φ(n)的模反元素d,即:ed ≡ 1(modφ(n))
(5)最后,n和e封装成公钥,n和d封装成私钥.
2.2 RSA算法的可靠性
公钥(n,e),其他p,q,φ(n),d 不公开. 如果 n 可以被因数分解,d 就可以算出,也就意味着私钥被破解。
对极大整数做因数分解的难度决定了RSA算法的可靠性。目前被破解的最长RSA密钥是768位。
2.3 RSA算法的加密和解密
设明文信息为 m( m<n ),密文为 c .
加密规则为:me ≡ c(mod n) .
解密规则为:cd ≡ m(mod n) .

浙公网安备 33010602011771号