CSEdge: Enabling Collaborative Edge Storage for Multi-Access Edge Computing Based on Blockchain
文献来源:Yuan L, He Q, Chen F, et al. CSEdge: Enabling Collaborative Edge Storage for Multi-Access Edge Computing Based on Blockchain[J]. IEEE Transactions on Parallel and Distributed Systems, 2021, 33(8): 1873-1887.
摘要
基于促进协作边缘存储的两个主要挑战:激励与信任问题,文章提出了一种新型的去中心化的系统CSEdge。在系统中,边缘服务器可以发布数据卸载任务来让其他边缘服务器来竞争(基于奖励机制,有利可图才会做任务),会在众多服务器中选择某一个或多个边缘服务器来存储数据(基于信誉机制,谁做任务完成的越快越好就选谁),同时,通过共识协议,将各服务器以往“做任务的表现”(如响应任务的时间、保存数据的完整性等)会记录在区块链中以便信誉评估。
从摘要即可看出本文主要的三个挑战,也是本文的创新点:
1. 激励机制(incentive mechanism)— 让其他边缘服务器主动存储offload卸载过来的数据。
2. 信誉机制(reputation mechanism)— 选择信誉良好的边缘服务器,降低风险。
3. 共识机制(consensus mechanism)— 提出了ER-BFT(edge reputation based Byzantine fault tolerance)共识算法。
下文详细介绍三种机制。
激励机制
获取奖励的途径:
一是作为ofloadee,执行数据卸载任务获得交易奖励(transaction reward),分有base reward [记为Rb](由发布数据卸载的服务器提供)和bonus reward [记为Re](激励边缘服务器充分利用它们的存储剩余空间容量);
二是作为leader,获取记账奖励。
一是作为ofloadee,执行数据卸载任务获得交易奖励(transaction reward),分有base reward [记为Rb](由发布数据卸载的服务器提供)和bonus reward [记为Re](激励边缘服务器充分利用它们的存储剩余空间容量);
二是作为leader,获取记账奖励。
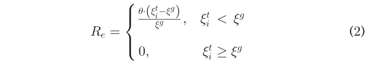
Re是如何计算的?
Θ为基本的奖金奖励,ξit为第 i 个做为测试者tester获取到的响应时间结果(可认为是实际响应时间),ξg为保证响应时间(事先承诺的时间)。从这个等式可以看出,Re的计算与data offloader(数据卸载任务发布的边缘服务器)无关。
信誉机制
类似点对点协作系统中的信誉机制[21][22],该系统基于EMA(exponential moving average,指数移动平均,一种给予近期数据更高权重的平均方法,深度学习中经常使用)来使近期交易占更高权重。

m是近期交易数量 ,repes为边缘服务器es的信誉,repesm为过去m个交易的信誉,α越高,意味着近期交易占的权重越大。
offloadee(被offloader选中的边缘服务器来执行数据卸载)的选择
offloadee的选择主要考虑信誉和保证响应时间。sci为ci服务器的分数,ω1和ω2之和为1.0。

关于本文设计的信誉系统的一些安全威胁这里不作阐述,文中指出了几个安全问题,但大部分可以通过本文所引入的区块链来解决。
共识机制
在CSEdge中,需要 验证一个交易中的三个内容来达成一致:
1. offloader是否有足够的奖励支付base reward;
2. 验证offloadee的响应时间、bonus reward的计算;
3. testers测试数据的完整性。
思考
看完一篇文献总有自己的疑问,还要有自己的思考,哪些地方你觉得可以改进同时又是你做得动的地方。

浙公网安备 33010602011771号