李沐动手学深度学习5——自动微分
李沐动手学深度学习,有视频、有中文电子书(含配套代码),推荐!
在机器学习里,矩阵计算比迭代计算效率更高。因此,需要学习矩阵微分求导:
———— 例子一 ——————————
:该函数对列向量X求导
首先展开该函数得

再对每个分量xi求偏导,得:

得到梯度为:

———— 例子二 ——————————
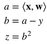
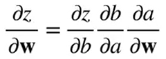
:该函数 (线性回归代价,y是标量) 对向量w求导
即计算:

由求导的链式法则,先设:

所以:

推出:

———— 例子三——————————
:该函数 (y是标量,||是L2范数) 对向量w求导
同上用链式法则求导:


以上是矩阵微分求导的过程,实现自动求导的算法运用了链式法则的思想,通常基于计算图来实现
计算图:

计算图将函数逐层分解为张量、张量操作和张量之间的依赖关系。
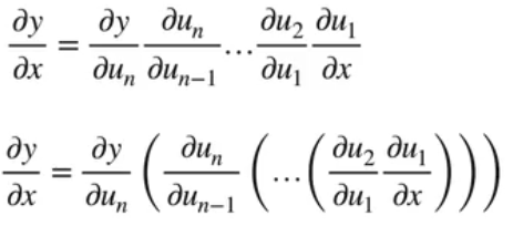
在进行自动求导计算时,可以使用两种方法:正向累积、反向累积(正向传播、反向传播)
如下图,可以这么理解正向和反向的区别:(上中下依次为链式法则、正向累积、反向累积)


正向累积、反向累积求导的过程:

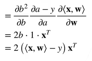
求线性回归代价梯度:
正向:a对x求导(累乘得xT) ——> b对a求导(累乘得xT) ——> z对b求导(累乘得2xT)
反向:z对b求导得2b(需要知道b的值) ——> z对a求导得2b ——> z对w求导得(需要知道x的值)
反向累积可以去除多余的枝,在反向累积前需要前向计算的中间结果
正向传播计算导数时,虽然不需要额外的内存存储中间结果,但对于输入向量中的每一个属性xi,都需要计算一遍y对其的偏导,效率较低
反向传播计算导数时,需要先完成一次正向传播并记录中间值,然后就能一次计算出梯度,内存消耗更大但效率更高
举例:


如果用正向传播的方法计算梯度:
即计算L对w的导数,L对w的偏导为(wx-y)x ,对w中的n项,需要计算n次
如果用反向传播的方法计算梯度:
先计算出y和L的值分别是7和4.5,再计算L对y的导数,等于y-(y-true),等于-3
再计算y对w求导得x:(2,1,3) (还有常数项1),所以L对w求导得(-6,-3,-9)(还有b=-3)
原理结束,以下是代码实现,知识点是pytorch的反向传播梯度计算功能:
import torch # 对y=2xTx关于x求导 x = torch.arange(4.0) print(x) x.requires_grad = True # 等价于x=torch.arange(4.0,requires_grad=True) print(x.grad) y = 2 * torch.dot(x, x) print(y) # 反向传播函数backward y.backward() print(x.grad) # pytorch默认累积梯度,计算新梯度前先清除之前的梯度 x.grad.zero_() y = x.sum() y.backward() print(x.grad) # 非标量变量的反向传播 x.grad.zero_() y = x * x # 先求和再算梯度 y.sum().backward() print(x.grad) # 使用detach函数将计算移动到计算图外 # detach函数: 从计算图中分离一个张量,返回一个新的不需要梯度的张量,同时共享原张量的内存 x.grad.zero_() y = x * x u = y.detach() z = u * x z.sum().backward() print(x.grad == u) # 链式法则被阻断了 # 而原始张量y不受影响 x.grad.zero_() y.sum().backward() print(x.grad == 2*x) # 计算图的记录在python控制流执行期间始终生效 def f(a): b = a*2 while b.norm()<1000: b = b * 2 if b.sum() > 0: c = b else: c = 100 * b return c a = torch.randn(size = (), requires_grad = True) d = f(a) d.backward() print(a.grad == d/a)
浙公网安备 33010602011771号