【树】力扣110:平衡二叉树
给定一个二叉树,判断它是否是高度平衡的二叉树。
本题中,一棵高度平衡二叉树定义为:
一个二叉树每个节点 的左右两个子树的高度差的绝对值不超过 1 。
示例1:
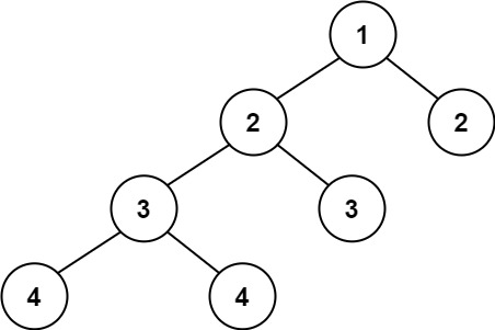
输入:root = [1,2,2,3,3,null,null,4,4]
输出:false
示例2:
输入:root = []
输出:true
这道题是 【力扣104. 二叉树的最大深度】 的延伸版本。
自顶向下
构造一个获取当前节点最大深度的方法 depth(root) ,通过比较此子树的左右子树的最大高度差 abs(depth(root.left) - depth(root.right)) 来判断此子树是否是二叉平衡树。树的所有子树都平衡时,此树才平衡。
-
函数 isBalanced(root):判断树 root 是否平衡
-
特例处理: 若根结点 root 为空,则直接返回 true
-
返回值: 所有子树都需要满足平衡树性质,因此以下三者使用与逻辑 & 连接
-
abs(self.depth(root.left) - self.depth(root.right)) <= 1:判断 当前子树 是否是平衡树(也可以表示为 差值绝对值 < 2)
-
self.isBalanced(root.left):先序遍历递归,判断 当前子树的左子树 是否是平衡树
-
self.isBalanced(root.right):先序遍历递归,判断 当前子树的右子树 是否是平衡树
-
-
-
函数 depth(root):计算树 root 的最大高度
-
终止条件:当 root 为空,即越过叶子节点,则返回高度 0
-
返回值:返回左 / 右子树的最大高度 加 1
-
# Definition for a binary tree node.
# class TreeNode:
# def __init__(self, val=0, left=None, right=None):
# self.val = val
# self.left = left
# self.right = right
class Solution:
def isBalanced(self, root: TreeNode) -> bool:
if not root:
return True
return abs(self.height(root.right) - self.height(root.left)) < 2 and self.isBalanced(root.left) and self.isBalanced(root.right)
# 求高度
def height(self, node):
if not node:
return 0
return 1 + max(self.height(node.left), self.height(node.right))
时间复杂度 O(nlog_2 n),其中 n 是二叉树中的节点个数。。最坏情况下,isBalanced(root) 遍历树所有节点,占用 O(n);判断每个节点的最大高度 depth(root) 需要遍历各子树的所有节点,子树的节点数的复杂度为 O(log_2 n)
空间复杂度:O(n)空间复杂度主要取决于递归调用的层数,递归调用的层数不会超过 n。
自底向上
先处理子树的深度再进行比较:对二叉树做后序遍历,从底至顶返回子树最大高度,如果在处理子树时发现其已经不平衡了,则可以返回一个 -1,使得所有其父结点可以避免多余的判断。
-
函数 recur(root):
-
递归返回值:
-
当结点root 左 / 右子树的高度差 < 2 :则返回以结点 root 为根结点的子树的最大高度,即结点 root 的左右子树中最大高度加 1 ( max(left, right) + 1 )
-
当结点root 左 / 右子树的高度差 > 1(也就是 else 的情况) :则返回 −1 ,代表 此子树不是平衡树
-
-
递归终止条件:
-
当越过叶子节点时,返回高度 0
-
当 左(右)子树高度 == -1 时,代表此子树的 左(右)子树 不是平衡树,因此直接返回 -1 ;
-
-
-
函数isBalanced(root):
- 返回值:若 recur(root) != 1 ,则说明此树平衡,返回 true
- 否则返回 false
class Solution:
def isBalanced(self, root: TreeNode) -> bool:
return self.recur(root) != -1 # 结果不是 -1 说明是这里的平衡树,是 -1 则不是平衡树
def recur(self, root):
if not root:
return 0
# 返回左(右)子树的深度,如果深度为 -1(不平衡),则全树不平衡
left = self.recur(root.left)
if left == -1: # 左子树不是平衡树
return -1
right = self.recur(root.right)
if right == -1: # 右子树不是平衡树
return -1
return 1 + max(left, right) if abs(left - right) < 2 else -1
时间复杂度:O(n),其中 n 是二叉树中的节点个数。使用自底向上的递归,每个节点的计算高度和判断是否平衡都只需要处理一次,最坏情况下需要遍历二叉树中的所有节点,因此时间复杂度是 O(n)。
空间复杂度:O(n)。空间复杂度主要取决于递归调用的层数,递归调用的层数不会超过 n。


浙公网安备 33010602011771号