【链表】力扣160:相交链表
给你两个单链表的头节点 headA 和 headB ,请你找出并返回两个单链表相交的起始节点。如果两个链表不存在相交节点,返回 null 。
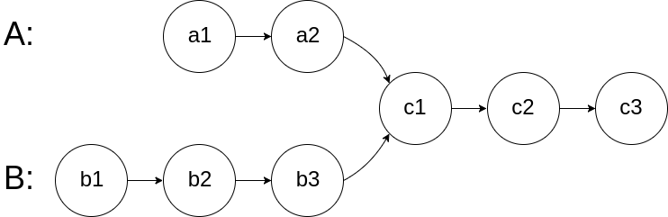
图示两个链表在节点 c1 开始相交:

题目数据保证 整个链式结构中不存在环。
注意,函数返回结果后,链表必须 保持其原始结构 。
自定义评测:
评测系统 的输入如下(你设计的程序 不适用 此输入):
intersectVal - 相交的起始节点的值。如果不存在相交节点,这一值为 0
listA - 第一个链表
listB - 第二个链表
skipA - 在 listA 中(从头节点开始)跳到交叉节点的节点数
skipB - 在 listB 中(从头节点开始)跳到交叉节点的节点数
评测系统将根据这些输入创建链式数据结构,并将两个头节点 headA 和 headB 传递给你的程序。如果程序能够正确返回相交节点,那么你的解决方案将被 视作正确答案 。
示例:
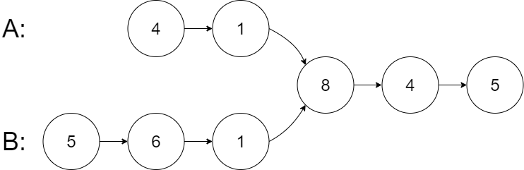
输入:intersectVal = 8, listA = [4,1,8,4,5], listB = [5,6,1,8,4,5], skipA = 2, skipB = 3
输出:Intersected at '8'
解释:相交节点的值为 8 (注意,如果两个链表相交则不能为 0)。
从各自的表头开始算起,链表 A 为 [4,1,8,4,5],链表 B 为 [5,6,1,8,4,5]。
在 A 中,相交节点前有 2 个节点;在 B 中,相交节点前有 3 个节点。
哈希表
判断两个链表是否相交,可以使用哈希集合存储链表结点。
-
首先遍历链表 headA,并将每个结点加入哈希集合中。key 为当前结点,value 为其后继结点
-
然后遍历链表 headB,对于遍历到的每个结点,判断该结点是否在哈希集合中:
-
如果当前结点不在哈希集合中,则继续遍历下一个结点
-
如果当前结点在哈希集合中,则后面的结点都在哈希集合中,即从当前结点开始的所有结点都在两个链表的相交部分,因此在链表 headB 中遍历到的第一个在哈希集合中的结点就是两个链表相交的结点,返回该结点
-
如果链表 headB 中的所有结点都不在哈希集合中,则两个链表不相交,返回 null(None)
-
# Definition for singly-linked list.
# class ListNode:
# def __init__(self, x):
# self.val = x
# self.next = None
class Solution:
def getIntersectionNode(self, headA: ListNode, headB: ListNode) -> ListNode:
ht = [] # 建哈希表
# 用指针遍历链表 headA 使之存储到哈希表中:键为当前结点,值为其后继结点
p = headA
while p != None:
ht.append(p)
p = p.next
# 用指针遍历链表 headB
p = headB
while p != None:
if ht.count(p): # 判断 headB 中的结点是否已经作为 key 出现在哈希表中,即 headB 中是否有 headA 中的结点。有则返回当前结点 p
return p
p = p.next
return None
时间复杂度:O(m + n),其中 m 和 n 是分别是链表 headA 和 headB 的长度。需要遍历两个链表各一次。
空间复杂度:O(m),其中 m 是链表 headA 的长度。需要使用哈希集合存储链表 headA 中的全部结点。
双指针
使用哈希表的空间复杂度有点高,为将空间复杂度降至 O(1)可以使用双指针的方法。
-
只有当链表 headA 和 headB 都不为空时,两个链表才可能相交。因此首先判断链表 headA 和 headB 是否为空,如果其中至少有一个链表为空,则两个链表一定不相交,返回 null
-
当链表 headA 和 headB 都不为空时,创建两个指针 pa 和 pb,初始时分别指向两个链表的头结点 headA 和 headB,然后将两个指针依次遍历两个链表的每个结点
-
如果指针 pa 不为空,则将指针 pa 移到下一个结点;如果指针 pb 不为空,则将指针 pb 移到下一个结点
-
如果指针 pa 为空,则将指针 pa 移到链表 headB 的头结点;如果指针 pb 为空,则将指针 pb 移到链表 headA 的头结点
-
设「第一个公共节点」为 node,链表 headA 的节点数量为 a,链表 headB 的节点数量为 b,「两链表的公共尾部」的节点数量为 c,则有:
-
头节点 headA 到 node 前,共有 a − c 个节点
-
头节点 headB 到 node 前,共有 b − c 个节点

-
指针 pa 先遍历完链表 headA,再开始遍历链表 headB,当走到 node 时,共走步数为 a + (b − c)
-
指针 pb 先遍历完链表 headB,再开始遍历链表 headA,当走到 node 时,共走步数为 b + (a - c)
此时指针 pa, pb 重合,$ a + (b − c) = b + (a - c) $,并有两种情况:
- 若两链表 有公共尾部 (c > 0) :指针 pa, pb 同时指向「第一个公共结点」node
- 若两链表 无公共尾部 (c = 0) :指针 pa, pb 同时指向 null
因此,返回 指针pa 即可。
class Solution:
def getIntersectionNode(self, headA: ListNode, headB: ListNode) -> ListNode:
# 先考虑特殊情况
if headA == None or headB == None:
return None
pa, pb = headA, headB # 创建双指针
while pa != pb:
'''
if pa: 指针 pa 不为空。此时将指针 pa 移到下一个结点
else: 指针 pa 为空,说明已经遍历完链表 headA,然后开始遍历链表 headB,则 pa = headB,使 pa 指向 headB 的头结点
'''
pa = pa.next if pa else headB
pb = pb.next if pb else headA
return pa
时间复杂度:O(m + n),其中 m 和 n 是分别是链表 headA 和 headB 的长度。两个指针同时遍历两个链表,每个指针遍历两个链表各一次。
空间复杂度:O(1)。


浙公网安备 33010602011771号