【数学】力扣172:阶乘后的零
给定一个整数 n ,返回 n! 结果中尾随零的数量。
提示 n! = n * (n - 1) * (n - 2) * ... * 3 * 2 * 1
示例:
输入:n = 3
输出:0
解释:3! = 6 ,不含尾随 0
一个数学结论题。
每个尾部的 0 由 2 × 5 = 10 而来,那么可以把阶乘的每一个元素拆成质数相乘,统计有多少个 2 和 5。显然,质因子 2 的数量远多于质因子 5 的数量,因此题目可以转化为阶乘里有多少个质因子 5。
class Solution:
def trailingZeroes(self, n: int) -> int:
# n 为 0 是一种特殊情况
if n == 0:
return 0
count = 0
for num in range(1, n + 1):
while num % 5 == 0:
num //= 5
count += 1
return count
时间复杂度:O(n)。
空间复杂度:O(1)。
第一个自己写的题!!!之前做过的行测题里有类似选择题所以知道思路。第一次没有通过是while写成了if,导致 25 这种含有多个 5 的数字只计入了一次。

参考官方解答,思路可以扩展一些,从num == 5开始计算,且每次增量5,因为n∈[0, 4]时count一定为0,而其他数不是5的倍数,没有必要考虑,如果n很大就可以节省很多时间。
class Solution:
def trailingZeroes(self, n: int) -> int:
count = 0
for num in range(5, n + 1, 5):
while num % 5 == 0:
num /= 5
count += 1
return count
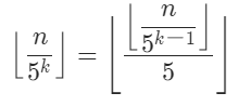
方法2:数学优化
一系列推导之后发现count其实就是
因此可以通过不断将 n 除以 5,并累加每次除后的 n,来得到答案。
class Solution:
def trailingZeroes(self, n: int) -> int:
ans = 0
while n: # n > 0 时
n //= 5
ans += n
return ans
作者:LeetCode-Solution
链接:https://leetcode-cn.com/problems/factorial-trailing-zeroes/solution/jie-cheng-hou-de-ling-by-leetcode-soluti-1egk/
时间复杂度:O(logn)。
空间复杂度:O(1)。
一行代码:
class Solution:
def trailingZeroes(self, n: int) -> int:
return 0 if n == 0 else n // 5 + self.trailingZeroes(n // 5)
在C++中:
int trailingZeroes(int n) {
return n == 0? 0: n / 5 + trailingZeroes(n / 5);
}

浙公网安备 33010602011771号