R语言与数据分析练习:计算特征间的Pearson相似系数
R语言与数据分析练习:计算特征间的Pearson相似系数
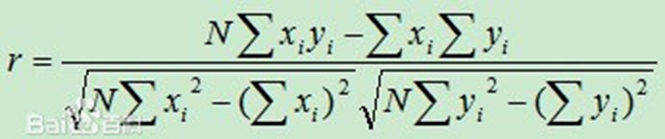
Pearson相关系数
Pearson相关系数(Pearson Correlation Coefficient)是用来衡量两个数据集合是否在一条线上面,它用来衡量定距变量间的线性关系。
Pearson相关系数简介
如衡量国民收入和居民储蓄存款、身高和体重、高中成绩和高考成绩等变量间的线性相关关系。当两个变量都是正态连续变量,而且两者之间呈线性关系时,表现这两个变量之间相关程度用积差相关系数,主要有Pearson简单相关系数。
其计算公式为:

题目:
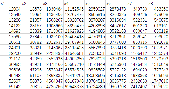
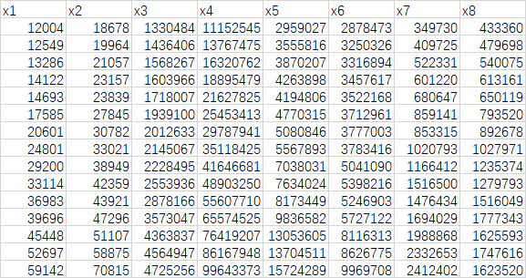
计算表中特征间的Pearson相似系数
数据如下:

实现代码:
# 切换当前目录
setwd("D:/bigdata/R语言与数据分析/data04")
# 读取数据
datafile <- read.csv("./data.csv")
# 计算pearson相关系数 保留2位小数
dataPearson <- round(cor(datafile,method = c("pearson")) , 2)
# 将数据写入新建的csv文件中 保存
write.csv(dataPearson,"./dataPearson.csv")
运行结果:

posted on 2021-03-23 20:25 JohnZhuang 阅读(406) 评论(0) 收藏 举报
浙公网安备 33010602011771号