并查集基础
并查集
算法介绍
并查集是一种树形的数据结构,用于处理不相交集合间的合并及查询问题
在使用中常以 森林 来表示
集合定义方法:“代表元法”,即 每个集合选择一个固定的元素,作为整个集合的 “代表” 元素
基本操作
-
初始化:将元素 \(x\) 作为自身集合的 “代表” 元素
for(int i = 1; i <= n; ++ i) fa[i] = i; -
\(find(x)\):查询元素 \(x\) 所在集合的 “代表” 元素
int find(int x) { if(x == fa[x]) return x; return find(fa[x]); } -
\(merge(x, y)\):合并元素 \(x, y\) 所在的两个集合
void merge(int x, int y) { int fx = fa[x], fy = find(y); if(fx == fy) return; fa[fx] = fy; }
路径压缩和按秩合并
-
路径压缩,均摊时间复杂度 \(O(logN)\)
\(find(x)\) 时,将 \(x\) 的 父节点 直接指向 根节点(“代表” 元素)
适用情况:题目中不需要维护明确的父子关系
int find(int x) { return x == fa[x] ? fa[x] : fa[x] = find(fa[x]); } -
按秩合并,均摊时间复杂度 \(O(logN)\)
“秩”:树的深度 / 集合大小
将 “秩” 记录在代表元素。合并时,将 “秩” 较小的树根作为 “秩” 较大的树根的子节点
void merge(int x, int y) { //按大小合并 int fx = find(x), fy = find(y); if(fx == fy) return; if(siz[fx] < siz[fy]) fa[fx] = fy, siz[fy] += siz[fx]; else fa[fy] = fx, siz[fx] += siz[fy]; }void merge(int x, int y) { //按深度合并 int fx = find(x), fy = find(y); if(fx == fy) return; if(high[fx] < high[fy]) fa[fx] = fy; if(high[fx] > high[fy]) fa[fy] = fx; if(high[fx] == high[fy]) fa[fx] = fy, high[fy] ++; }
注意:
-
实际使用时,常常只使用路径压缩过的并查集
只有当需要考虑到节点间父子关系或追求程序运行效率(题目一般不会卡路径压缩的做法)时
才会用到按秩合并
-
同时采用 路径压缩 和 按秩合并 优化的并查集,每次 \(find(x)\) 时间复杂度可降低到 \(O(\alpha(N))\)
即为 反阿克曼函数
使用方法
维护无向图中节点连通性
给定一张 \(n\)个点、\(m\) 条边的无向图
\(q\) 次询问,每次询问点 \(x, y\) 是否处于同一连通块
\(1\leq n\leq 10^5,1\leq m,q\leq 10^6\)
使用并查集的基本操作即可
当 \(x,y\) 间存在一条边时,对 \(x,y\) 所在集合进行合并
查询时,查看 \(x,y\) 两点所在集合的 “代表” 元素是否相同即可
注:实际上,并查集可以用于维护许多具有传递性的关系
#include <iostream>
#include <cstdio>
#include <cstring>
#include <algorithm>
using namespace std;
const int N = 1e6 + 5;
typedef long long LL;
int read() {
int x = 0, f = 1; char ch;
while(! isdigit(ch = getchar())) (ch == '-') && (f = -f);
for(x = ch ^ 48; isdigit(ch = getchar()); x = (x << 3) + (x << 1) + (ch ^ 48));
return x * f;
}
template <class T> T Max(T a, T b) { return a > b ? a : b; }
template <class T> T Min(T a, T b) { return a < b ? a : b; }
int fa[N];
int find(int x) { return x == fa[x] ? fa[x] : fa[x] = find(fa[x]); }
int main() {
int n = read(), m = read();
for(int i = 1, x, y; i <= m; ++ i) {
x = read(); y = read();
int fx = find(x), fy = find(fy);
fa[fx] = fy;
}
int q = read();
for(int i = 1, x, y; i <= q; ++ i) {
x = read(); y = read();
int fx = find(x), fy = find(y);
printf(fx == fy ? "Yes\n" : "No");
}
return 0;
}
快速跳过无用集合
BZOJ2054 疯狂的馒头
\(n\) 个白色的馒头,\(m\)次染色操作
第 \(i\) 次染色操作将第 \((i*p+q)\ mod\ n + 1\) 个馒头和第 \((i*q+p)\ mod\ n+1\)个馒头之间馒头染成颜色 \(i\)
输出每个馒头最终被染成的颜色
\(1\leq n\leq 10^6,1\leq m\leq 10^7\),时限 \(10s\)
题解:
每个馒头最终被染成的颜色只和最后一次染色有关系
考虑倒叙枚举染色操作
则每个馒头第一次被染成的颜色(实际为最后一次)即为最终颜色
暴力的时间复杂度为 \(O(n*m)\)
考虑到在枚举染色区间时,每个馒头可能被无效枚举若干次(已经被确定最终颜色)
使用并查集对已染色的馒头区间进行压缩
时间复杂度:\(O(m*lgn)\)
#include <iostream>
#include <cstdio>
#include <cstring>
#include <algorithm>
using namespace std;
const int N = 1e6 + 5;
typedef long long LL;
int read() {
int x = 0, f = 1; char ch;
while(! isdigit(ch = getchar())) (ch == '-') && (f = -f);
for(x = ch ^ 48; isdigit(ch = getchar()); x = (x << 3) + (x << 1) + (ch ^ 48));
return x * f;
}
template <class T> T Max(T a, T b) { return a > b ? a : b; }
template <class T> T Min(T a, T b) { return a < b ? a : b; }
int c[N], fa[N];
int find(int x) { return x == fa[x] ? fa[x] : fa[x] = find(fa[x]); }
int main() {
int n = read(), m = read(), p = read(), q = read();
for(int i = 1; i <= n + 1; ++ i) fa[i] = i;
for(int i = m, x, y; i >= 1; -- i) {
x = (i * p % n + q) % n + 1;
y = (i * q % n + p) % n + 1;
if(x > y) swap(x, y);
for(int j = find(x); j <= y; j = find(j)) {
c[j] = i; fa[j] = j + 1;
}
}
for(int i = 1; i <= n; ++ i) printf("%d\n", c[i]);
return 0;
}
例题
程序自动分析
给定 \(n\) 行约束条件,每行 \(3\) 个整数 \(i,j,e\)
若 \(e=1\),说明 \(x_i=x_j\)
若 \(e=0\),说明 \(x_i\neq x_j\)
判定这些约束条件能否被同时满足
\(T\) 组数据
\(1\leq T\leq 10,1\leq i,j\leq 10^9,1\leq n\leq10^6\)
题解:
根据题意,可能会被用到的变量最多只有 \(2*n\) 个
所以,首先对变量下标进行离散化操作
对约束条件进行排序,优先考虑 \(e=1\) 的情况
利用并查集将相同的变量元素维护在同一连通块内
当考虑 \(e=0\) 的情况时,若存在 \(x_i\) 和 \(x_j\) 处于同一连通块,则该约束条件不可被满足
否则所有约数条件可同时被满足
#include <iostream>
#include <cstdio>
#include <cstring>
#include <algorithm>
using namespace std;
const int N = 2e6 + 5;
typedef long long LL;
int read() {
int x = 0, f = 1; char ch;
while(! isdigit(ch = getchar())) (ch == '-') && (f = -f);
for(x = ch ^ 48; isdigit(ch = getchar()); x = (x << 3) + (x << 1) + (ch ^ 48));
return x * f;
}
template <class T> T Max(T a, T b) { return a > b ? a : b; }
template <class T> T Min(T a, T b) { return a < b ? a : b; }
int tot, fa[N], b[N];
struct node { int i, j, e; } p[N];
bool cmp_e(node x, node y) { return x.e > y.e; }
int find(int x) { return x == fa[x] ? x : fa[x] = find(fa[x]); }
void solve() {
tot = 0;
int n = read();
for(int i = 1; i <= n; ++ i) p[i].i = read(), p[i].j = read(), p[i].e = read();
for(int i = 1; i <= n; ++ i) b[++ tot] = p[i].i, b[++ tot] = p[i].j;
sort(b + 1, b + tot + 1);
tot = unique(b + 1, b + tot + 1) - (b + 1);
for(int i = 1; i <= n; ++ i) {
p[i].i = lower_bound(b + 1, b + tot + 1, p[i].i) - b;
p[i].j = lower_bound(b + 1, b + tot + 1, p[i].j) - b;
}
for(int i = 1; i <= tot; ++ i) fa[i] = i;
sort(p + 1, p + n + 1, cmp_e);
for(int i = 1; i <= n; ++ i) {
int fx = find(p[i].i), fy = find(p[i].j);
if(p[i].e) fa[fx] = fy;
else if(fx == fy) return printf("NO\n"), (void)0;
}
printf("YES\n");
}
int main() {
int T = read();
while(T --> 0) solve();
return 0;
}
Supermarket
题目链接:UVA1316 Supermarket
给定 \(n\) 件物品,第 \(i\) 件物品有如下信息:
- 卖出去可以得到 \(p_i\) 的收益
- 过期时间为 \(d_i\),过期后就不能再卖出去
卖掉一件物品要用 \(1\) 的时间,求最大收益
多组数据,每组数据一行。首先是一个整数 \(n\),然后是 \(n\) 对数 \(p_i,d_i\),以文件终止符结束
\(0\leq n\leq10^4,1\leq p_i,d_i\leq10^4\)
题解:
每个时间只能卖出一件物品
考虑有限时间内尽量卖出收益高的物品
将物品按 \(p_i\) 从大到小排序
每件物品应在过期前尽量晚卖出,满足贪心的 “决策包容性”
建立关于 "时间" 元素 的并查集,维护 每个时间的占用情况
当一件物品决定在时间 \(day\) 被卖出后,利用并查集将时间 \(day\) 合并到 \(day-1\) 上
帮助快速查找某个时间之前 还未决定卖出物品的第一个时间
#include <iostream>
#include <cstdio>
#include <cstring>
#include <algorithm>
using namespace std;
const int N = 2e6 + 5;
typedef long long LL;
int read() {
int x = 0, f = 1; char ch;
while(! isdigit(ch = getchar())) (ch == '-') && (f = -f);
for(x = ch ^ 48; isdigit(ch = getchar()); x = (x << 3) + (x << 1) + (ch ^ 48));
return x * f;
}
template <class T> T Max(T a, T b) { return a > b ? a : b; }
template <class T> T Min(T a, T b) { return a < b ? a : b; }
int n, fa[N];
struct node { int p, d; } e[N];
bool cmp(node x, node y) { return x.p > y.p; }
int find(int x) { return x == fa[x] ? x : fa[x] = find(fa[x]); }
void solve() {
int mx = 0, ans = 0;
for(int i = 1; i <= n; ++ i) e[i].p = read(), mx = max(mx, e[i].d = read());
sort(e + 1, e + n + 1, cmp);
for(int i = 1; i <= mx; ++ i) fa[i] = i;
for(int i = 1; i <= n; ++ i) {
int day = find(e[i].d);
if(day == 0) continue;
ans += e[i].p;
fa[day] = find(day - 1);
}
printf("%d\n", ans);
}
int main() {
while(scanf("%d", &n)) solve();
return 0;
}
边带权 并查集
算法介绍
由于并查集能够维护很多具有传递性的关系,且并查集总是呈树形结构
因此可以用数组在每个节点处记录该节点与其父亲节点之间的关系
在路径压缩过程中,及时正确修改关系值即可
例题
银河英雄传说
初始时,共 \(30000\) 个战舰,第 \(i\) 号战舰处于第 \(i\) 列
共 \(n\) 条指令,每条指令占一行,共两种指令,格式如下:
\(M\ i\ j\):将 \(i\) 号所在战舰队列作为整体接至 \(j\) 号所在战舰队列尾部
\(C\ i\ j\): 判断 \(i\) 号战舰和 \(j\) 号战舰是否在同一列
若在同一列,则输出它们之间战舰的个数,否则输出 \(-1\)
\(1\leq n\leq 5*10^5,1\leq i,j\leq 30000\)
题解:
若只是判断两战舰是否在同一列,仅使用普通并查集即可
题目中还需要维护两战舰之间的战舰个数
定义如下变量:
- \(dis[x]\):\(x\) 前面有多少战舰(不包括 \(x\))
- \(siz[x]\):\(x\) 所在战舰列的战舰个数(仅在根节点维护正确值,用于合并两集合时对 \(dis\) 进行更新)
在 \(find\) 和 \(merge\) 时对信息进行维护即可
若 \(x\) 和 \(y\) 处于同一战舰列,两战舰之间的战舰个数为 \(Abs(dis[x]-dis[y])-1\)

#include <iostream>
#include <cstdio>
#include <cstring>
#include <algorithm>
using namespace std;
const int N = 3e4 + 5;
typedef long long LL;
int read() {
int x = 0, f = 1; char ch;
while(! isdigit(ch = getchar())) (ch == '-') && (f = -f);
for(x = ch ^ 48; isdigit(ch = getchar()); x = (x << 3) + (x << 1) + (ch ^ 48));
return x * f;
}
template <class T> T Max(T a, T b) { return a > b ? a : b; }
template <class T> T Min(T a, T b) { return a < b ? a : b; }
int Abs(int x) { return x > 0 ? x : -x; }
char c[5];
int n, fa[N], dis[N], siz[N];
int find(int x) {
if(x == fa[x]) return x;
int fx = find(fa[x]);
dis[x] += dis[fa[x]];
return fa[x] = fx;
}
void merge(int x, int y) {
int fx = find(x), fy = find(y);
fa[fx] = fy; dis[fx] = siz[fy];
siz[fy] += siz[fx];
}
void query(int x, int y) {
int fx = find(x), fy = find(y);
if(fx != fy) return printf("-1\n"), (void)0;
printf("%d\n", Abs(dis[x] - dis[y]) - 1);
}
int main() {
n = read();
for(int i = 1; i <= 3e4; ++ i) fa[i] = i, siz[i] = 1;
for(int i = 1, x, y; i <= n; ++ i) {
scanf("%s", c + 1);
x = read(); y = read();
if(c[1] == 'M') merge(x, y);
if(c[1] == 'C') query(x, y);
}
return 0;
}
Parity game
题目链接:P5937 [CEOI1999]Parity Game
一个长度为 \(n\) 的 \(01\) 序列 \(s\),给出 \(m\) 条判断信息
每行信息格式为两个整数 \(x,y\) 和一个字符串
若字符串为 \(even\),表示区间 \(s[x,y]\) 中 \(1\) 的个数为偶数个
若字符串为 \(odd\),表示区间 \(s[x,y]\) 中 \(1\) 的个数为奇数个
输出一个数 \(k\),满足前 \(k\) 组信息是正确的的前提下,第 \(k+1\) 组信息是错的
若判断信息全部正确,则输出 \(m\)
\(1\leq n\leq 10^9,1\leq m\leq 5000\)
题解:
用 \(sum\) 表示序列 \(s\) 的前缀和
-
\(s[l,r]\) 有偶数个 \(1\) 等价于 \(sum[l-1]\) 与 \(sum[r]\) 奇偶性相同
-
\(s[l,r]\) 有奇数个 \(1\) 等价于 \(sum[l-1]\) 与 \(sum[r]\) 奇偶性相反
由于序列很长,需要先对 \(l-1\) 和 \(r\) 进行离散化
利用并查集维护奇偶性关系
设 \(d[x]\) 表示奇偶性关系
-
\(d[x]=0\),表示 \(x\) 与 \(fa[x]\) 的奇偶性相同
-
\(d[x]=1\),表示 \(x\) 与 \(fa[x]\) 的奇偶性相反
可以通过巧妙的异或运算对 \(d[x]\) 进行维护
若 A ^ B = C,那么有 C ^ A = B,C ^ B = A
对于多个数的情况,该性质仍然成立

#include <iostream>
#include <cstdio>
#include <cstring>
#include <algorithm>
using namespace std;
const int N = 1e6 + 5;
typedef long long LL;
int read() {
int x = 0, f = 1; char ch;
while(! isdigit(ch = getchar())) (ch == '-') && (f = -f);
for(x = ch ^ 48; isdigit(ch = getchar()); x = (x << 3) + (x << 1) + (ch ^ 48));
return x * f;
}
template <class T> T Max(T a, T b) { return a > b ? a : b; }
template <class T> T Min(T a, T b) { return a < b ? a : b; }
char s[5];
struct node { int l, r, val; } q[N];
int tot, b[N], fa[N], d[N];
int find(int x) {
if(x == fa[x]) return x;
int fx = find(fa[x]);
d[x] ^= d[fa[x]];
return fa[x] = fx;
}
int main() {
int n = read(), m = read();
for(int i = 1; i <= m; ++ i) {
q[i].l = read() - 1; q[i].r = read();
scanf("%s", s + 1);
q[i].val = (s[1] == 'o' ? 1 : 0);
b[++ tot] = q[i].l;
b[++ tot] = q[i].r;
}
sort(b + 1, b + tot + 1);
n = unique(b + 1, b + tot + 1) - (b + 1);
for(int i = 1; i <= n; ++ i) fa[i] = i;
for(int i = 1; i <= m; ++ i) {
int x = lower_bound(b + 1, b + n + 1, q[i].l) - b;
int y = lower_bound(b + 1, b + n + 1, q[i].r) - b;
int fx = find(x), fy = find(y);
if(fx == fy) {
if((d[x] ^ d[y]) != q[i].val) return printf("%d\n", i - 1), 0;
}
else {
fa[fx] = fy;
d[fx] = d[x] ^ d[y] ^ q[i].val;
}
}
printf("%d\n", m);
return 0;
}
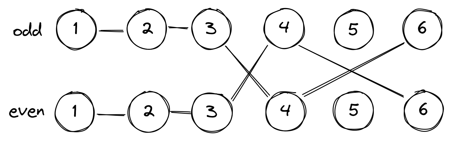
扩展域 并查集
算法介绍
当并查集所维护的元素具有若干不同时存在的性质时,考虑拆点思想
若元素 \(x\) 存在 \(op\) 种性质,则将 \(x\) 拆成 \(op\) 个点
再根据题目中的条件,对有关系的点对进行连接
再根据连通性对题目进行判断
例题 Parity game
题目链接:P5937 [CEOI1999]Parity Game
一个长度为 \(n\) 的 \(01\) 序列 \(s\),给出 \(m\) 条判断信息
每行信息格式为两个整数 \(x,y\) 和一个字符串
若字符串为 \(even\),表示区间 \(s[x,y]\) 中 \(1\) 的个数为偶数个
若字符串为 \(odd\),表示区间 \(s[x,y]\) 中 \(1\) 的个数为奇数个
输出一个数 \(k\),满足前 \(k\) 组信息是正确的的前提下,第 \(k+1\) 组信息是错的
若判断信息全部正确,则输出 \(m\)
\(1\leq n\leq 10^9,1\leq m\leq 5000\)
题解:
用 \(sum\) 表示序列 \(s\) 的前缀和
-
\(s[l,r]\) 有偶数个 \(1\) 等价于 \(sum[l-1]\) 与 \(sum[r]\) 奇偶性相同
-
\(s[l,r]\) 有奇数个 \(1\) 等价于 \(sum[l-1]\) 与 \(sum[r]\) 奇偶性相反
由于序列很长,需要先对 \(l-1\) 和 \(r\) 进行离散化
利用扩展域并查集进行维护判断即可
将有关系的点对进行连接
根据点对的连通性判断信息是否合法

#include <iostream>
#include <cstdio>
#include <cstring>
#include <algorithm>
using namespace std;
const int N = 1e6 + 5;
typedef long long LL;
int read() {
int x = 0, f = 1; char ch;
while(! isdigit(ch = getchar())) (ch == '-') && (f = -f);
for(x = ch ^ 48; isdigit(ch = getchar()); x = (x << 3) + (x << 1) + (ch ^ 48));
return x * f;
}
template <class T> T Max(T a, T b) { return a > b ? a : b; }
template <class T> T Min(T a, T b) { return a < b ? a : b; }
char s[5];
struct node { int l, r, val; } q[N];
int tot, b[N], fa[N];
int find(int x) { return x == fa[x] ? x : fa[x] = find(fa[x]); }
int main() {
int n = read(), m = read();
for(int i = 1; i <= m; ++ i) {
q[i].l = read() - 1; q[i].r = read();
scanf("%s", s + 1);
q[i].val = (s[1] == 'o' ? 1 : 0);
b[++ tot] = q[i].l;
b[++ tot] = q[i].r;
}
sort(b + 1, b + tot + 1);
n = unique(b + 1, b + tot + 1) - (b + 1);
for(int i = 1; i <= 2 * n; ++ i) fa[i] = i;
for(int i = 1; i <= m; ++ i) {
int x = lower_bound(b + 1, b + n + 1, q[i].l) - b;
int y = lower_bound(b + 1, b + n + 1, q[i].r) - b;
int x_odd = x, x_even = x + n;
int y_odd = y, y_even = y + n;
int fx = find(x), fy = find(y);
if(q[i].val == 0) {
if(find(x_odd) == find(y_even)) return printf("%d\n", i - 1), 0;
fa[find(x_odd)] = find(y_odd);
fa[find(x_even)] = find(y_even);
}
if(q[i].val == 1) {
if(find(x_odd) == find(y_odd)) return printf("%d\n", i - 1), 0;
fa[find(x_odd)] = find(y_even);
fa[find(x_even)] = find(y_odd);
}
}
printf("%d\n", m);
return 0;
}
练习题 食物链
题目链接:P2024 [NOI2001] 食物链
习题
信息传递
题目链接:P2661 [NOIP2015 提高组] 信息传递
修复公路
题目链接:P1111 修复公路
【模板】并查集
题目链接:P3367 【模板】并查集

浙公网安备 33010602011771号