LeetCode初级算法之链表:141 环形链表
01
题目信息
题目地址:
https://leetcode-cn.com/problems/linked-list-cycle/
给定一个链表,判断链表中是否有环。
-
如果链表中有某个节点,可以通过连续跟踪 next 指针再次到达,则链表中存在环。为了表示给定链表中的环,我们使用整数 pos 来表示链表尾连接到链表中的位置(索引从 0 开始)。如果 pos 是 -1,则在该链表中没有环。注意:pos 不作为参数进行传递,仅仅是为了标识链表的实际情况。
-
如果链表中存在环,则返回 true 。否则,返回 false 。
进阶:
你能用 O(1)(即,常量)内存解决此问题吗?
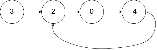
示例 1:
输入:head = [3,2,0,-4], pos = 1
输出:true
解释:链表中有一个环,其尾部连接到第二个节点。
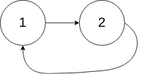
示例 2:
输入:head = [1,2], pos = 0
输出:true
解释:链表中有一个环,其尾部连接到第一个节点。
示例 3:
输入:head = [1], pos = -1
输出:false
解释:链表中没有环。
提示:
链表中节点的数目范围是 [0, 104] -105 <= Node.val <= 105 pos 为 -1 或者链表中的一个 有效索引 。
02
解法一:快慢指针
这题成环问题直接就联想想到快慢指针,一条道两个人跑步一快一慢,如果没环则永远不会追上,有环则会相遇。大概如下(慢的走一步、快的走两步):
代码如下:
public boolean hasCycle(ListNode head) {
ListNode slow = head;
ListNode fast = head;
while (fast != null && fast.next != null) {
//出发点相同所以先走再判断是否相等
slow = slow.next;
fast = fast.next.next;
if (slow.equals(fast)) {
return true;
}
}
return false;
}
03
解法二:hash表
快慢指针当然是最优的,但还是可以熟悉一下其他容器。和前面一样用容器存判断是否成环的条件即在不停的next不停的存的过程中出现了存的节点之前存过。那么可以hashmap计数但只判断是否出现两次所以用set就行
public boolean hasCycle(ListNode head) {
Set<ListNode> set = new HashSet();
while (head != null) {
//存到重复返回
if (!set.add(head)) return true;
head = head.next;
}
return false;
}
04
总结
初级算法合集中的链表篇章也结束,总体来说一共六题都确实比较简单可能需要熟悉和思考的点就是通过双指针的链表操作完成各种场景的定位。美满

下一篇开始树的相关算法。
本文分享自微信公众号 - IT那个小笔记(qq1839646816)。
如有侵权,请联系 support@oschina.cn 删除。
本文参与“OSC源创计划”,欢迎正在阅读的你也加入,一起分享。

浙公网安备 33010602011771号