【数学建模入门】TOPSIS法
TOPSIS法
背景知识
TOPSIS法(Technique for Order Preference by Similarity to Ideal Solution) 可翻译为逼近理想解排序法,国内常简称为优劣解距离法
与层次分析法相比,topsis的先决条件是有初始的数据,所以我们更应该通过这些数据进行分析
第一步:将原始矩阵正向化
最常见的四种指标:
| 指标名称 | 指标特点 | 例子 |
|---|---|---|
| 极大型(效益型) | 越大越好 | 成绩、GDP |
| 极小型(成本型) | 越小越好 | 费用、污染程度 |
| 中间型 | 越接近某个值越好 | 水质量评估时的PH值 |
| 区间型 | 落在某个区间最好 | 体温、人体的血压 |
所谓正向化就是将所有指标转化为极大型指标
类型1:极小型-->极大型
| 姓名 | 成绩 | 处分次数 | 正向化后的处分次数 |
|---|---|---|---|
| 小王 | 78 | 0 | 4 |
| 小杨 | 89 | 2 | 2 |
| 小张 | 78 | 1 | 3 |
| 小吴 | 90 | 4 | 0 |
| 小曾 | 87 | 3 | 1 |
此时我们可以取正向化函数为:
\[f(x)=max-x
\]
此时正向化完成,正向化函数可以不一致的
类型2:中间值型-->极大型
| 水样标本名称 | PH | 正向化后的指标 |
|---|---|---|
| 恒河水 | 10 | 0 |
| 泰晤士河水 | 8 | 0.6667 |
| 长江河水 | 7 | 1 |
| 密西西比河水 | 6 | 0.6667 |
(水样的PH值肯定越接近7越好)
\[假设{x_i}是一组中间值指标序列,且最佳的数值为x_{b},那么正向化的公式如下:
\]
\[M=max{|x_i-x_b|},x_i=1-|x_i-x_b|/M
\]
类型3:区间型指标-->极大型指标
| 姓名 | 体温 | 正向化后的体温 |
|---|---|---|
| 张三 | 36.5 | 1 |
| 李四 | 37.9 | 0.4705 |
| 王五 | 35.1 | 0.4705 |
| 杨六 | 35.2 | 0.5294 |
| 曾七 | 38.7 | 0 |
一般人体的体温都是在36~37为正常,所以范围是[36,37]
公式化就是:
\[[x_i]是一组区间型指标,且最佳区间是[a,b],那么正向化公式是:
\]
M=max{a-min(x),max(x)-b}
\[x_{i正向化后} =
\begin{cases}
1-|x_i-a|/M,&x_i<a\\
1,&a<=x_i<=b\\
1-|x_i-b|/M,&x_i>b
\end{cases}
\]
此题中,M=1.7,最佳区间是[a,b]=[36,37].
第二步:正向化矩阵标准化
目的是消除不同指标量纲的影响。
假设有n个评价对象,m个评价指标(均已正向化)构成的正向化矩阵如下:
\[X=
\left[
\begin{matrix}
x_{11}& x_{12} & x_{13}&x_{14}&...&x_{1m} \\
x_{21}& x_{22} & x_{23}&x_{24}&...&x_{2m} \\
x_{31}& x_{32} & x_{33}&x_{34}&...&x_{3m} \\
...&...&...&...&...&...\\
x_{n1}& x_{n2} & x_{n3}&x_{n4}&...&x_{nm}
\end{matrix}
\right]
\]
那么就对,对其每一个元素标准化后的矩阵为Z,其中Z中的每个元素为:

第三步:计算得分并归一化
有以下标准化矩阵:
\[Z=
\left[
\begin{matrix}
z_{11}& z_{12} & z_{13}&z_{14}&...&z_{1m} \\
z_{21}& z_{22} & z_{23}&z_{24}&...&z_{2m} \\
z_{31}& z_{32} & z_{33}&z_{34}&...&z_{3m} \\
...&...&...&...&...&...\\
z_{n1}& z_{n2} & z_{n3}&z_{n4}&...&z_{nm}
\end{matrix}
\right]
\]
计算得分公式的公式为:

这里的距离可以理解为向量之间的距离
定义最大值:
\[Z_{max}=(Z_{1max},Z_{2max},...,Z_{mmax})\\=(max\{z_{11},z_{21},z_{31},...,z_{n1}\},max\{z_{12},z_{22},z_{32},...,z_{n2}\},...,\\max\{z_{1m},z_{2m},z_{3m},...,z_{nm}\})
\]
定义最小值:
\[Z_{min}=(Z_{1min},Z_{2min},...,Z_{mmin})\\=(min\{z_{11},z_{21},z_{31},...,z_{n1}\},min\{z_{12},z_{22},z_{32},...,z_{n2}\},...,\\min\{z_{1m},z_{2m},z_{3m},...,z_{nm}\})
\]
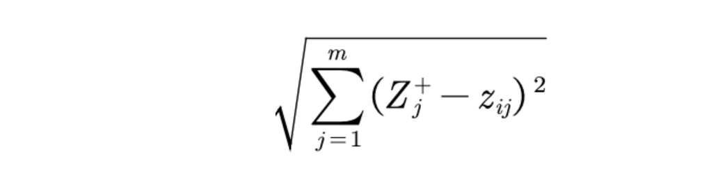
定义第i个对象与最大值的距离(就是向量之间的距离的求法):

定义第i个对象与最大值的距离(就是向量之间的距离的求法):

具体例子
| 姓名 | 成绩 | 处分次数 | 正向化后的处分次数 |
|---|---|---|---|
| 小王 | 78 | 0 | 4 |
| 小杨 | 89 | 2 | 2 |
| 小张 | 78 | 1 | 3 |
| 小吴 | 90 | 4 | 0 |
| 小曾 | 87 | 3 | 1 |
以此为例:
step1:正向化
易得已正向化
step2:标准化
由公式得以下矩阵:
| 姓名 | 成绩 | 正向化处分次数 |
|---|---|---|
| 小王 | 0.412 | 0.730 |
| 小杨 | 0.471 | 0.365 |
| 小张 | 0.412 | 0.548 |
| 小吴 | 0.476 | 0 |
| 小曾 | 0.460 | 0.183 |
step3:计算得分
最大的向量为[0.476,0.730]
最小的向量为[0.412,0]
有公式可以得
| 姓名 | 成绩 | 正向化处分次数 | 最小距离 | 最大距离 | 评分 |
|---|---|---|---|---|---|
| 小王 | 0.412 | 0.730 | 0.73 | 0.064 | 0.919 |
| 小杨 | 0.471 | 0.365 | 0.370 | 0.365 | 0.503 |
| 小张 | 0.412 | 0.548 | 0.548 | 0.193 | 0.740 |
| 小吴 | 0.476 | 0 | 0.064 | 0.73 | 0.081 |
| 小曾 | 0.460 | 0.183 | 0.189 | 0.547 | 0.257 |
| 归一化评分 |
|---|
| 0.368 |
| 0.201 |
| 0.296 |
| 0.032 |
| 0.103 |
由此可以得出小王的评分最高
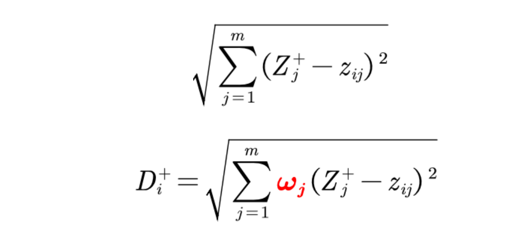
带有权值topsis算法
有上题,成绩和处分次数真得一样重要吗?其实在现实生活中许多指标它们的权值是不一样的。
所以将权值引入topsis只需要改变第三步的公式,改变如下:
\[w_j代表第j个指标的权值,
\]
将如下公式改为

最小距离同上
而权值可以根据层次分析法

浙公网安备 33010602011771号