题解:P9697 [GDCPC 2023] Canvas
节选自:图论做题记录(三)(2025.5.24 - 2025.31)
首先,后面的操作可能会覆盖掉前面的操作,这很不好做,于是我们考虑倒着来考虑,一旦一个操作执行了,那么对应的 \(l_i\) 和 \(r_i\) 位置的数就一定是 \(x_i\) 和 \(y_i\) 了,后续所有操作均是在倒序下的,最终把答案倒着数出来就可以了。
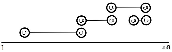
一个显然的贪心就是,最开始执行所有 \((l_i, 2, r_i, 2)\) 操作,最后执行所有 \((l_i, 1, r_i, 1)\) 操作。那么现在我们需要处理的就是 \((l_i, 1, r_i, 2)\) 操作和 \((l_i, 2, r_i, 1)\) 操作的顺序。其实这两种操作是一样的,对于 \((l_i, 2, r_i, 1)\) 操作,我们交换 \(l_i\) 和 \(r_i\),此时就只有 \((l_i, 1, r_i, 2)\) 操作了。我们考虑到,如果若干个修改长成如图所示的样子:

也就是每个操作的 \(l_i\) 节点正好是某个操作的 \(r_i\) 节点,那么除了 \(l_1\) 这个点,其它所有点都可以被赋值成 \(2\),因此,我们从 \(l_i\) 向 \(r_i\) 连一条有向边,然后将这个图缩点,那么每个强连通分量中,除了入度为 \(0\) 的这个点,其它所有点都会被赋值成 \(2\)。我们在建图时,直接把边权赋值成操作编号,然后 DFS 一遍就可以确定顺序了。
最后还有一点,如果某个强连通分量中有一个点 \(u\) 被包含在了某个 \((u, 2, v, 2)\) 中,如图:

(图中红色的就是 \((u, 2, v, 2)\) 操作)
那么从 \(u\) 点开始一定更优,因为这样就可以使整个强连通分量中的点都变成 \(2\)。那么现在所有情况都讨论完了,于是我们用 \(O(n)\) 的时间复杂度解决了这道题目。
点击查看代码
#include <bits/stdc++.h>
using namespace std;
const int N = 5e5 + 9;
struct Edge{
int v, w, nex;
} e[N << 1];
int head[N], ecnt;
void addEdge(int u, int v, int w){
e[++ecnt] = Edge{v, w, head[u]};
head[u] = ecnt;
}
struct edge{
int u, v;
} E[N];
int l[N], r[N], x[N], y[N], beg[N], deg[N], a[N], cnt, tot, n, m, T;
int low[N], dfn[N], scc[N], sc, dfncnt;
stack <int> s;
bool ins[N], vis[N];
vector <int> ans;
void tarjan(int u){
low[u] = dfn[u] = ++dfncnt;
s.push(u);
ins[u] = true;
for(int i = head[u]; i; i = e[i].nex){
int &v = e[i].v;
if(!dfn[v]){
tarjan(v);
low[u] = min(low[u], low[v]);
} else if(ins[v])
low[u] = min(low[u], dfn[v]);
}
if(low[u] == dfn[u]){
++sc;
while(s.top() != u){
scc[s.top()] = sc;
ins[s.top()] = 0;
s.pop();
}
scc[s.top()] = sc;
ins[s.top()] = 0;
s.pop();
}
}
void dfs(int u){
vis[u] = true;
for(int i = head[u]; i; i = e[i].nex){
int v = e[i].v;
ans.push_back(e[i].w);
if(vis[v])
continue;
dfs(v);
}
}
void init(){
memset(head, 0, sizeof(head));
memset(beg, 0, sizeof(beg));
memset(deg, 0, sizeof(deg));
memset(low, 0, sizeof(low));
memset(dfn, 0, sizeof(dfn));
memset(scc, 0, sizeof(scc));
memset(vis, 0, sizeof(vis));
memset(a, 0, sizeof(a));
ans.clear();
ecnt = cnt = tot = sc = dfncnt = 0;
}
int main(){
scanf("%d", &T);
while(T--){
init();
scanf("%d%d", &n, &m);
for(int i = 1; i <= m; i++){
scanf("%d%d%d%d", &l[i], &x[i], &r[i], &y[i]);
if(x[i] == 2 && y[i] == 1){
swap(x[i], y[i]);
swap(l[i], r[i]);
E[++tot] = edge{l[i], r[i]};
addEdge(l[i], r[i], i);
} else if(x[i] == 1 && y[i] == 2){
E[++tot] = edge{l[i], r[i]};
addEdge(l[i], r[i], i);
} else if(x[i] == 2 && y[i] == 2){
beg[++cnt] = l[i], beg[++cnt] = r[i];
ans.push_back(i);
}
}
for(int i = 1; i <= n; i++){
if(!dfn[i]){
dfncnt = 0;
tarjan(i);
}
}
for(int i = 1; i <= tot; i++){
int u = E[i].u, v = E[i].v;
if(scc[u] != scc[v])
deg[scc[v]]++;
}
for(int i = 1; i <= cnt; i++)
if(!deg[scc[beg[i]]] && !vis[beg[i]])
dfs(beg[i]);
for(int i = 1; i <= n; i++)
if(!deg[scc[i]] && !vis[i])
dfs(i);
for(int i = 1; i <= m; i++)
if(x[i] == 1 && y[i] == 1)
ans.push_back(i);
for(int i = ans.size() - 1; i >= 0; i--)
a[l[ans[i]]] = x[ans[i]], a[r[ans[i]]] = y[ans[i]];
int res = 0;
for(int i = 1; i <= n; i++)
res += a[i];
printf("%d\n", res);
for(int i = ans.size() - 1; i >= 0; i--)
printf("%d ", ans[i]);
printf("\n");
}
return 0;
}
本文来自博客园,作者:Orange_new,转载请注明原文链接:https://www.cnblogs.com/JPGOJCZX/p/18904011

浙公网安备 33010602011771号