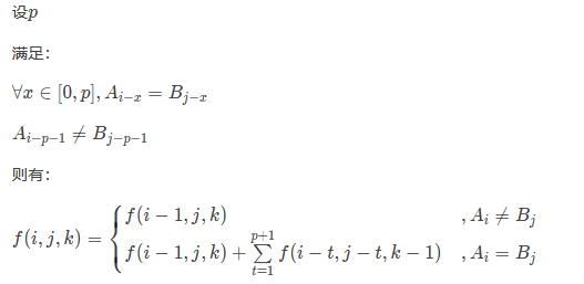
P2679 [NOIP2015 提高组] 子串
>>a串中 取连续的的不重叠字串首尾相连组成 b串
f[i][j][k]->a的前i位且i必选 取k串 组成 b的前j位 的方案数

呢村会炸 <=1e7,8
令g[i][j][k]=Σf[i-t][j-t][k-1] -> g[i][j][k]=g[i-1][j][k]+f[i][j][k]->A前i个中选出k组匹配上B中的前j个最后一位选/不选都可以的方案数
>>>因为不重叠 所以完全背包-> f[][j-t][k-1] 前一个状态 所以不能影响
#include <cstdio> #define MAXN 1010 #define MAXM 210 using namespace std; const int MOD=1e9+7; int n,m,k; char a[MAXN],b[MAXM]; int f[MAXM][MAXM]; //a到n, b到m, 取了k串 int g[MAXM][MAXM]; //f的前缀和 inline int min(int a,int b) { return a<b ? a : b; } int main() { scanf("%d%d%d",&n,&m,&k); scanf("%s%s",a+1,b+1); g[0][0]=1;f[0][0]=1; for (int i=1;i<=n;i++) { for (int j=min(m,i);j>=1;j--) { for (int p=min(k,j);p>=1;p--) { f[j][p]=a[i]==b[j] ? (f[j-1][p]+g[j-1][p-1])%MOD : 0; g[j][p]=(g[j][p]+f[j][p])%MOD; } } } printf("%d\n",g[m][k]); return 0; }

浙公网安备 33010602011771号