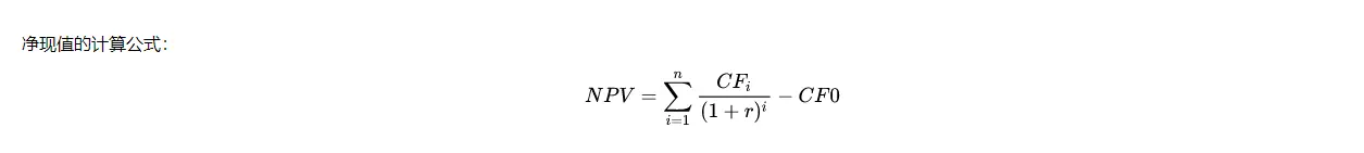
折现率公式:

CF0:成本
CFi:第i期收入金额
r:折现率
java代码:
import java.util.ArrayList; import java.util.Scanner; public class Test { public static double calculateNPV(double initialInvestment, ArrayList<Double> cashFlows, double discountRate) { double npv = -initialInvestment; // 初始投资为负值 for (int t = 0; t < cashFlows.size(); t++) { double cashFlow = cashFlows.get(t); npv += cashFlow / Math.pow(1 + discountRate, t + 1); // 计算每期的现金流折现值并累加 } return npv; } public static void main(String[] args) { double initialInvestment = 0; // 初始投资金额 System.out.println("请输入初始投资金额/(元):"); Scanner sc = new Scanner(System.in); initialInvestment = sc.nextDouble(); System.out.println("请输入贴现率/(%):"); double discountRate = sc.nextDouble() * 0.01; // 贴现率为10% System.out.println("请输入几期:"); int num = sc.nextInt(); // 几期完成 System.out.println("请输入每期现金数量/(元):"); ArrayList<Double> cashFlows = new ArrayList<Double>(); // 未来现金流量列表 for (int t = 0; t < num;t ++) { double temp = sc.nextDouble(); cashFlows.add(temp); } // 计算净现值 double npv = calculateNPV(initialInvestment, cashFlows, discountRate); System.out.println("净现值为: " + npv); } }
 
                    
                 
 
                
            
         浙公网安备 33010602011771号
浙公网安备 33010602011771号