第1次作业-Numpy练习
1.创建一个边界值为1而内部都是0的数组,图例如下:
[提示:]解此题可以先把所有值都设置为1,这是大正方形;其次,把边界除外小正方形全部设置为0。
本题用到numpy的切片原理。多维数组同样遵循x[start:stop:step]的原理。
[1. 1. 1. 1. 1. 1. 1. 1. 1. 1.]
[1. 0. 0. 0. 0. 0. 0. 0. 0. 1.]
[1. 0. 0. 0. 0. 0. 0. 0. 0. 1.]
[1. 0. 0. 0. 0. 0. 0. 0. 0. 1.]
[1. 0. 0. 0. 0. 0. 0. 0. 0. 1.]
[1. 0. 0. 0. 0. 0. 0. 0. 0. 1.]
[1. 0. 0. 0. 0. 0. 0. 0. 0. 1.]
[1. 0. 0. 0. 0. 0. 0. 0. 0. 1.]
[1. 0. 0. 0. 0. 0. 0. 0. 0. 1.]
[1. 1. 1. 1. 1. 1. 1. 1. 1. 1.]
1 import numpy as np 2 a = np.ones((10,10)) 3 a[1:9,1:9] = 0 4 print(a)
2.在数组主对角线上创建一个值为1,2,3,4的5x5矩阵,图例如下:
[1 0 0 0]
[0 2 0 0]
[0 0 3 0]
[0 0 0 4]
1 import numpy as np 2 a = np.eye(4,dtype=int) 3 for i in range (4): 4 a[i,i] = i+1 5 print(a)
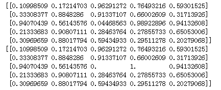
3.数组归一化操作
生成一个随机的5*5矩阵,找出最大值和最小值,然后把最大值和最小值分别用1和0表示,其他值则介于在0和1中间。
1 import numpy as np 2 a = np.random.rand(5,5) 3 m,n = a.shape 4 print(a) 5 a[int(np.argmax(a) / n) , int(np.argmax(a) % n)] = 1 6 a[int(np.argmin(a) / n) , int(np.argmin(a) % n)] = 0 7 print(a)
运行结果:

浙公网安备 33010602011771号