进行2014年和2015年的财政收入的预测
一、灰色预测+SVR
import numpy as np
import pandas as pd
inputfile = 'data/data.csv' # 输入的数据文件
data = pd.read_csv(inputfile) # 读取数据
# 描述性统计分析
description = [data.min(), data.max(), data.mean(), data.std()]  # 依次计算最小值、最大值、均值、标准差
description = pd.DataFrame(description, index = ['Min', 'Max', 'Mean', 'STD']).T  # 将结果存入数据框
print('描述性统计结果:\n',np.round(description, 2))  # 保留两位小数

# 相关性分析 corr = data.corr(method = 'pearson') # 计算相关系数矩阵 print('相关系数矩阵为:\n',np.round(corr, 2)) # 保留两位小数

热值热力图:
# 绘制热力图
import matplotlib.pyplot as plt
import seaborn as sns
plt.subplots(figsize=(10, 10)) # 设置画面大小 
sns.heatmap(corr, annot=True, vmax=1, square=True, cmap="Blues")
plt.rcParams['font.sans-serif'] = ['SimHei']  # 用来正常显示中文标签
plt.rcParams['axes.unicode_minus'] = False  # 用来正常显示负号 
plt.title('相关性热力图')
plt.show()
plt.close
  
对影响因素进行筛选,得到对财政收入影响较大的关键因素:
import numpy as np
import pandas as pd
from sklearn.linear_model import Lasso
inputfile = 'data.csv'  # 输入的数据文件
data = pd.read_csv(inputfile)  # 读取数据
lasso = Lasso(1000)  # 调用Lasso()函数,设置λ的值为1000
lasso.fit(data.iloc[:,0:13],data['y'])
print('相关系数为:',np.round(lasso.coef_,5))  # 输出结果,保留五位小数
print('相关系数非零个数为:',np.sum(lasso.coef_ != 0))  # 计算相关系数非零的个数
mask = lasso.coef_ != 0  # 返回一个相关系数是否为零的布尔数组
print('相关系数是否为零:',mask)
mask = np.append(mask,True)
outputfile ='new_reg_data.csv'  # 输出的数据文件
new_reg_data = data.iloc[:, mask]  # 返回相关系数非零的数据
new_reg_data.to_csv(outputfile)  # 存储数据
print('输出数据的维度为:',new_reg_data.shape)  # 查看输出数据的维度
  
进行灰度预测:
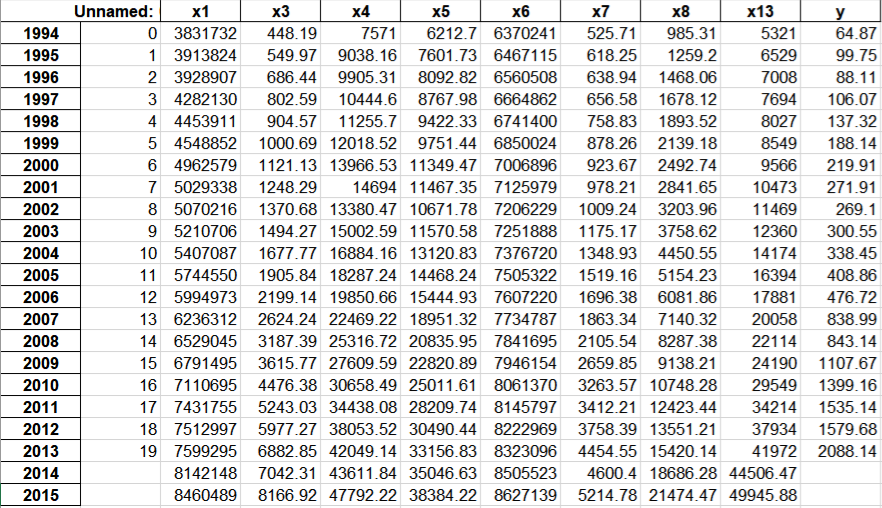
import sys sys.path.append('../code') # 设置路径 import numpy as np import pandas as pd from GM11 import GM11 # 引入自编的灰色预测函数 inputfile1 = '../tmp/new_reg_data.csv' # 输入的数据文件 inputfile2 = '../data/data.csv' # 输入的数据文件 new_reg_data = pd.read_csv(inputfile1,index_col=0) # 读取经过特征选择后的数据 data = pd.read_csv(inputfile2) # 读取总的数据 new_reg_data.index = range(1994, 2014) new_reg_data.loc[2014] = None new_reg_data.loc[2015] = None l = ['x1', 'x3', 'x4', 'x5', 'x6', 'x7', 'x8', 'x13'] for i in l: f = GM11(data[i][:20].values)[0] new_reg_data.loc[2014,i] = f(len(new_reg_data)-1) # 2014年预测结果 new_reg_data.loc[2015,i] = f(len(new_reg_data)) # 2015年预测结果 new_reg_data[i] = new_reg_data[i].round(2) # 保留两位小数 outputfile = 'new_reg_data_GM11.xls' # 灰色预测后保存的路径 y = list(data['y'].values) # 提取财政收入列,合并至新数据框中 y.extend([np.nan,np.nan]) new_reg_data['y'] = y new_reg_data.to_excel(outputfile) # 结果输出 print('预测结果为:\n',new_reg_data.loc[2014:2015,:]) # 预测结果展示

SVR预测模型
import matplotlib.pyplot as plt from sklearn.svm import LinearSVR inputfile = './tmp/new_reg_data_GM11.xls' # 灰色预测后保存的路径 data = pd.read_excel(inputfile) # 读取数据 feature = ['x1', 'x3', 'x4', 'x5', 'x6', 'x7', 'x8', 'x13'] # 属性所在列 data_train = data.iloc[0:20].copy() # 取2014年前的数据建模 data_mean = data_train.mean() data_std = data_train.std() data_train = (data_train - data_mean)/data_std # 数据标准化 x_train = data_train[feature].values # 属性数据 y_train = data_train['y'].values # 标签数据 linearsvr = LinearSVR() # 调用LinearSVR()函数 linearsvr.fit(x_train,y_train) x = ((data[feature] - data_mean[feature])/data_std[feature]).values # 预测,并还原结果。 data['y_pred'] = linearsvr.predict(x) * data_std['y'] + data_mean['y'] outputfile = './tmp/new_reg_data_GM11_revenue.xls' # SVR预测后保存的结果 data.to_excel(outputfile) print('真实值与预测值分别为:\n',data[['y','y_pred']]) fig = data[['y','y_pred']].plot(subplots = True, style=['b-o','r-*']) # 画出预测结果图 plt.show()

差分
import warnings warnings.filterwarnings("ignore") # 差分后的结果 D_data = pre_data.diff().dropna() D_data.columns = ['y差分'] D_data.plot() # 时序图 plt.show() plot_acf(D_data).show() # 自相关图 from statsmodels.graphics.tsaplots import plot_pacf plot_pacf(D_data).show() # 偏自相关图 print('差分序列的ADF检验结果为:', ADF(D_data['y差分'])) # 平稳性检测

 
                    
                     
                    
                 
                    
                
 
                
            
         
         浙公网安备 33010602011771号
浙公网安备 33010602011771号