【模版】多项式乘法(FFT
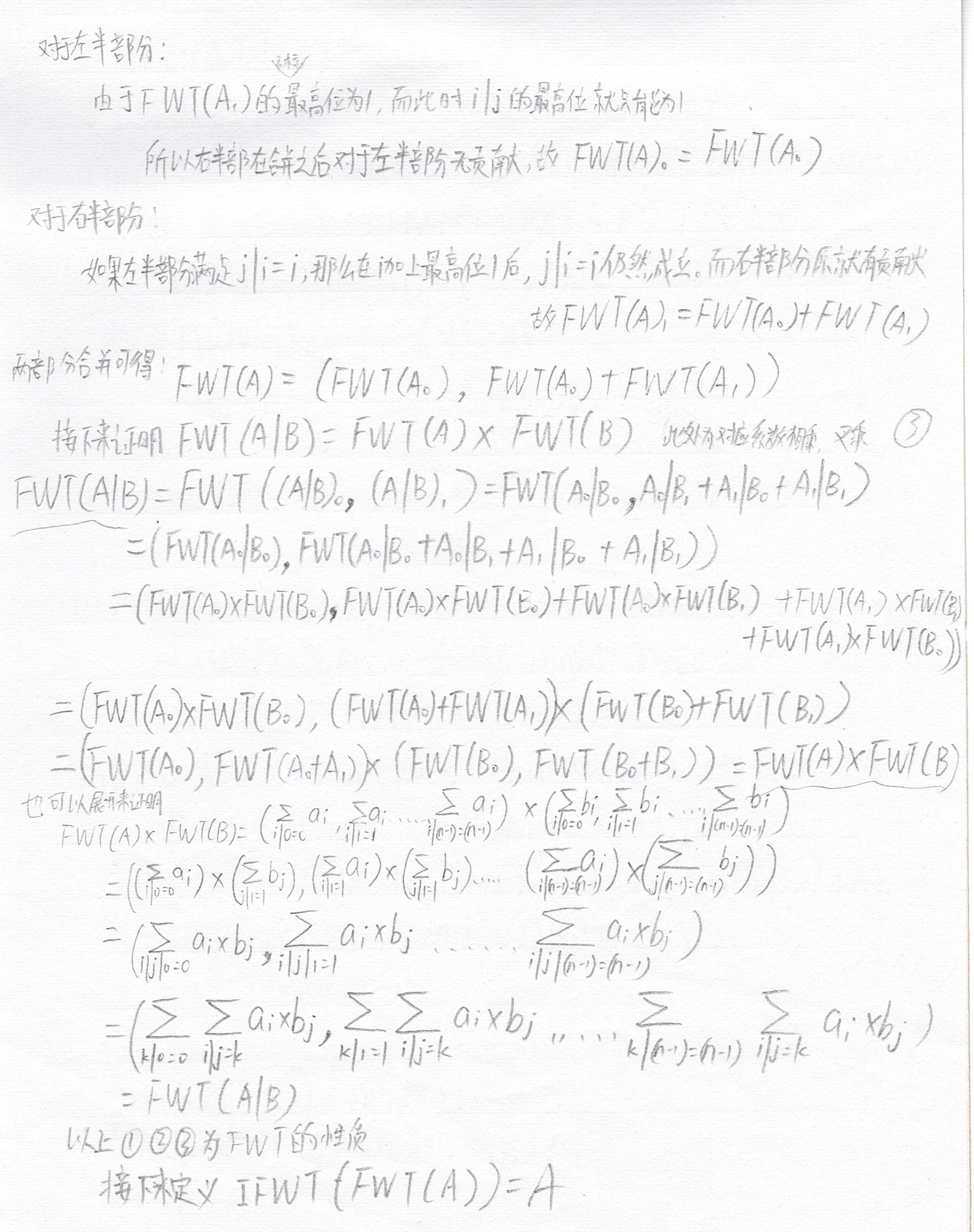
...
-------------------------------
update : 2023高考后
发现自己当初自学笔记






-------------------------------
代码就是写个模版(
#include<bits/stdc++.h> using namespace std; const int N=6e6+7; const double pi=acos(-1); int n,m; struct node { double x,y; node operator + (const node&t) const { return {x+t.x ,y+t.y}; } node operator - (const node&t) const { return {x-t.x ,y-t.y}; } node operator * (const node&t) const { return {x*t.x -y*t.y ,x*t.y+y*t.x}; } }a[N],b[N]; int rev[N],bit,cnt; void fft(node a[],int inv) { for(int i=0;i<cnt;i++) if(i<rev[i]) swap(a[i],a[rev[i]]); for(int mid=1;mid<cnt;mid<<=1) { node wl=node({cos(pi/mid),inv*sin(pi/mid)}); for(int i=0;i<cnt;i+=(mid<<1)) { node wr=node({1,0}); for(int j=0;j<mid;j++,wr=wr*wl) { node x=a[i+j],y=wr*a[i+j+mid]; a[i+j]=x+y; a[i+j+mid]=x-y; } } } return ; } int main() { ios::sync_with_stdio(false); cin>>n>>m; for(int i=0;i<=n;i++) cin>>a[i].x; for(int i=0;i<=m;i++) cin>>b[i].x; while((1<<bit)<n+m+1) bit++; cnt=1<<bit; for(int i=0;i<cnt;i++) { rev[i]=( (rev[i>>1]>>1)|((i&1)<<(bit-1)) ); } fft(a,1); fft(b,1); for(int i=0;i<cnt;i++) a[i]=a[i]*b[i]; fft(a,-1); for(int i=0;i<=n+m;i++) cout<<(int)(a[i].x/cnt+0.5)<<' '; return 0; }

浙公网安备 33010602011771号