大作业
《商场家电部管理系统项目报告》
一、项目概述
本项目旨在为商场家电部打造一个综合性的管理系统。通过该系统,售货员能够便捷地进行家电产品的销售记录,并处理因质量问题导致的退货以及消费者的维修申请。消费者则可以在该系统中进行家电购买、申请退货和查看故障电器的维修结果。部门经理能够全面掌握售货员的销售情况,以及电子产品退货和维修的详细数据,以便更好地进行管理决策。
该系统将运用先进的技术和合理的架构设计,确保系统具有稳定的性能、高效的操作流程和良好的数据安全性。它将极大地提升商场家电部的管理效率和服务质量,促进部门的规范化、信息化运作,同时增强消费者的购物体验和满意度,为商场家电业务的持续健康发展提供有力的技术支持和保障。系统的建设将分阶段进行,包括需求分析、设计、开发、测试和上线等环节,以确保系统能够满足各方面的实际需求并顺利投入使用。
二、项目团队
队长:江小影,学号:233201062102
成员:郭佳策,学号:233201062106
成员:韩超,学号:233201062104
三、项目背景与目标
背景:
随着科技的发展和人们生活水平的提高,家电市场日益繁荣,消费者对于家电产品的需求和品质要求也不断提升。在商场家电部的运营过程中,面临着销售业务多样化、退货和维修情况复杂等挑战。传统的管理方式效率低下且容易出现数据不准确、流程不规范等问题,难以满足业务快速发展和消费者日益增长的需求。为了提升管理水平和服务质量,实现家电部运营的信息化和智能化,需要构建一个专门的管理系统。
目标:
为售货员提供便捷高效的销售工具,准确记录销售信息,快速处理退货和维修申请。
方便消费者购买家电、申请退货和查询维修结果,提升消费体验。
帮助部门经理实时掌握销售动态、退货及维修情况,以便做出科学的管理决策。
优化业务流程,提高工作效率,降低管理成本。
建立一个稳定可靠、功能齐全、易于扩展的管理系统,适应商场家电部未来业务发展的需求。
四、可行性分析
- 经济可行性:
- 开发成本方面,包括硬件设备采购、软件开发、人员投入等,初始投入可能相对较高,但可以通过合理规划和资源配置来控制。
- 运营成本主要涉及系统维护、数据更新、服务器租赁等费用,通常在可承受范围内。
- 预期收益则可能来自于提高管理效率、精准营销带来的销售增长、减少库存积压等方面,长期来看收益有望超过成本。
- 技术可行性:
- 现有技术足以支持这样的系统开发,如数据库管理技术、前端开发技术等都较为成熟。
- 可以利用云计算等技术来提供稳定可靠的服务。
对于数据处理和存储也有相应的解决方案。
- 法律可行性:
- 系统设计需确保符合消费者权益保护法、产品质量法等相关法律法规。
- 数据安全和隐私保护方面也应符合法律要求,避免法律风险。
- 操作可行性:
- 通过合理的界面设计和功能布局,系统可以做到易于使用。
- 可能需要对相关员工进行一定的培训,但培训难度通常不会太大,且能快速上手。
- 用户体验良好,有助于提高工作效率和员工满意度。
五、过程模型选型
可以选择瀑布模型来开发这个商场家电部管理系统。
原因如下:
-
需求明确:描述中对于系统的功能和业务流程有较为清晰明确的界定,如销售、退货、维修以及相应的查询统计等,符合瀑布模型对需求确定性的要求。
-
阶段划分清晰:可以依次进行系统规划、需求分析、设计、编码、测试和维护等阶段,每个阶段的目标和任务相对明确,与瀑布模型的阶段顺序相契合。
-
强调文档:瀑布模型注重各阶段的文档产出,对于这样一个包含多种业务流程和数据管理的系统,详细的文档有助于保证开发的准确性和可维护性。
当然,在实际开发过程中,也可以结合一些敏捷开发的思想和方法,以增加灵活性和应对可能的需求变更。
六、需求分析:
(一) 功能需求:
- 家电产品管理
- 产品信息录入:允许管理员添加新的家电产品信息,包括产品名称、型号、价格、库存量等。
- 产品信息编辑:允许管理员修改现有产品信息。
- 产品信息删除:允许管理员删除不再销售的家电产品信息。
- 产品信息查询:提供多种查询方式,如按名称、型号、价格区间等查询产品信息。
- 销售管理
- 销售记录创建:售货员可以创建销售记录,记录消费者购买的产品信息和数量。
- 销售记录查询:售货员和管理员可以查询销售记录,了解销售情况。
- 销售统计报表:系统能够生成销售统计报表,包括销售额、销售量等。
- 退货管理
- 退货申请处理:消费者可以提交退货申请,售货员或管理员审核并处理退货请求。
- 退货记录维护:系统记录退货信息,包括退货原因、处理结果等。
- 退货统计报表:系统能够生成退货统计报表,分析退货原因和趋势。
- 维修管理
- 维修申请提交:消费者可以提交维修申请,包括产品故障描述。
- 维修进度跟踪:消费者和管理员可以查看维修进度和结果。
- 维修记录管理:系统记录维修信息,包括维修日期、费用、维修人员等。
- 维修统计报表:系统能够生成维修统计报表,评估维修服务质量和成本。
- 经理查看报表
- 销售报表查看:经理可以查看销售报表,了解销售业绩。
- 退货报表查看:经理可以查看退货报表,分析退货情况。
- 维修报表查看:经理可以查看维修报表,监控维修服务。
- 综合报表生成:系统能够生成综合报表,提供决策支持。
(二) 非功能需求
-
系统响应时间
性能要求:确保系统在任何时候的响应时间不超过3秒,以提供良好的用户体验。 -
并发用户支持
容量规划:系统设计应考虑支持至少1000个并发用户,确保在高负载情况下仍能稳定运行。 -
系统安全性
数据保护:实施严格的数据加密和访问控制措施,保护敏感信息不被未授权访问。
备份与恢复:定期进行数据备份,并确保在系统故障时能够快速恢复数据,减少业务中断时间。
(三) 原型设计
总体界面布局:

首页:

商品界面:

商品规格界面:

购物车界面:

个人信息界面:

申请维修界面:

申请退款界面:

维修进度界面:

原型链接:
https://modao.cc/proto/CAE8d42bsds13i52WOAwi4/sharing?view_mode=read_only #商场家电部-分享
(四) 用例图
售货员销售家电产品:

消费者申请退货:

消费者申请维修:

消费者查看维修结果:

经理查看销售情况:

经理查看退货和维修情况:

(五) 用例描述
售货员销售家电产品
参与者:售货员
前置条件:售货员已登录系统。
基本流程:
-
售货员选择销售功能。
-
系统显示可销售的产品列表。
-
售货员选择要销售的产品和数量。
-
系统记录销售信息并更新库存。
-
系统生成销售单据。
异常流程:
如果所选产品库存不足,系统提示售货员并阻止销售操作。
消费者申请退货
参与者:消费者
前置条件:消费者已购买产品。
基本流程:
-
消费者选择退货功能。
-
系统要求消费者输入退货原因和购买信息。
-
系统验证购买信息。
-
系统创建退货记录并通知售货员。
-
售货员处理退货请求。
异常流程:
如果购买信息验证失败,系统拒绝退货申请。
消费者申请维修
参与者:消费者
前置条件:消费者拥有需要维修的产品。
基本流程:
-
消费者选择维修功能。
-
系统要求消费者输入产品故障描述和购买信息。
-
系统验证购买信息。
-
系统创建维修记录并通知维修部门。
-
维修部门接收并处理维修请求。
异常流程:
如果购买信息验证失败,系统拒绝维修申请。
消费者查看维修结果
参与者:消费者
前置条件:消费者已提交维修申请。
基本流程:
-
消费者选择查看维修结果功能。
-
系统显示维修进度和结果。
-
消费者确认维修结果。
异常流程:
如果维修记录不存在或未完成,系统提示消费者等待。
经理查看销售情况
参与者:部门经理
前置条件:经理已登录系统。
基本流程:
-
经理选择查看销售情况功能。
-
系统显示销售统计报表。
-
经理分析销售数据。
异常流程:
如果系统无法生成报表,提示经理检查系统状态。
经理查看退货和维修情况
参与者:部门经理
前置条件:经理已登录系统。
基本流程:
-
经理选择查看退货和维修情况功能。
-
系统显示退货和维修统计报表。
-
经理分析退货和维修数据。
异常流程:
如果系统无法生成报表,提示经理检查系统状态。
七、系统设计
1.系统总体功能结构设计

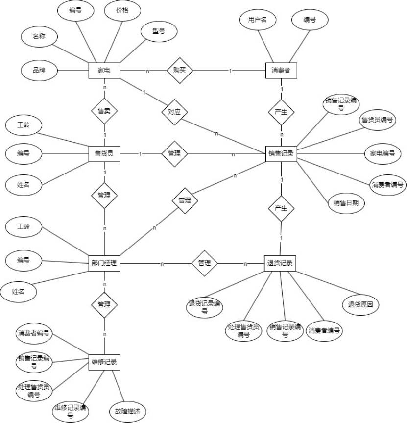
2.数据库设计

八、测试用例设计
正常销售流程
前置条件:
系统正常运行,有多种可销售的家电产品且库存充足,售货员已登录系统,网络连接稳定。
测试步骤:
1.售货员在系统界面中点击“销售”模块。
2.从产品列表中选择一款家电产品,确认产品型号、规格等信息无误。
3.输入消费者的姓名、联系方式等详细信息。
4.点击“确认销售”按钮。
预期结果:
-
系统显示“销售成功”的提示信息。
-
在销售记录中生成一条包含家电产品详细信息、消费者信息、销售时间等的记录。
-
对应家电产品的库存数量自动减少。
实际结果:(待测试后填写)
异常流程:
-
订单重复提交或错误提交。
-
库存数量不足导致无法满足订单需求。
-
支付失败,如银行卡信息错误、支付系统故障等。
-
退货申请不符合规定或存在争议。
退货流程
前置条件:
存在已销售的家电产品且在退货期限内,消费者已携带相关购买凭证,售货员已登录系统,网络正常。
测试步骤:
1.消费者向售货员说明退货需求,并出示购买凭证。
2.售货员在系统中搜索到对应的销售记录。
3.点击“退货”按钮。
4.确认退货信息,如产品状态等。
预期结果:
-
系统显示“退货成功”的提示信息。
-
生成退货记录,包含家电产品信息、消费者信息、退货时间等。
-
该家电产品的库存数量相应增加。
实际结果:(待测试后填写)
异常流程:
如果退货时系统提示不符合退货条件(如超过退货期限、无购买凭证等),记录异常信息,并在界面显示具体原因,如“该产品已超过退货期限,无法退货”。
维修申请与查看流程
前置条件:
消费者购买的家电出现故障,消费者已登录系统,部门经理已登录系统,网络状况良好。
测试步骤:
1.消费者在系统中找到对应购买记录,点击“申请维修”按钮。
2.填写故障描述等相关信息后提交。
3.部门经理在系统中进入维修管理模块。
4.查看维修申请记录,包括家电产品信息、消费者信息、故障描述等。
5.点击已完成维修的记录查看维修结果。
预期结果:
-
消费者端系统显示“维修申请提交成功”。
-
部门经理端能清晰准确地查看到详细的维修申请信息以及维修结果(如果已完成维修)。
实际结果:(待测试后填写)
异常流程:
-
若维修申请提交失败(如网络问题等),消费者端显示“提交失败,请稍后重试”等提示,并记录异常情况。
-
若部门经理查看信息不完整或有误,记录异常情况,如“维修申请信息显示不完整”。
九、困难及解决方法:
1.系统测试的全面性和准确性。
解决办法:制定详细的测试计划和测试用例,涵盖各种业务场景和边界情况,采用多种测试方法如功能测试、性能测试、兼容性测试等,确保系统质量可靠。
2.数据备份和恢复策略的制定。
解决办法:根据系统的数据重要性和业务需求,确定合适的数据备份频率和方式,如定期进行全量备份和增量备份,并制定完善的恢复流程和预案,以应对可能的数据丢失情况。
3.培训和支持的及时性。
解决办法:在系统上线前,为售货员和经理等用户提供全面的培训,让他们熟悉系统操作,同时建立快速响应的技术支持团队,及时解决用户在使用过程中遇到的问题和疑问。
4.跨团队协作的协调问题。
解决办法:明确各团队的职责和分工,建立有效的沟通机制和协调机制,定期召开项目会议,及时解决协作过程中出现的矛盾和问题。
5.技术选型和更新的难题。
解决办法:综合考虑系统性能、可扩展性、成本等因素,选择合适的技术架构和工具,同时关注技术发展动态,及时对系统进行技术更新和升级,以保持系统的先进性和竞争力。
浙公网安备 33010602011771号