二叉树的遍历
- 二叉树是我昨天才第一次接触的新名词,查了一下资料,在这里记录自己的学习结果。
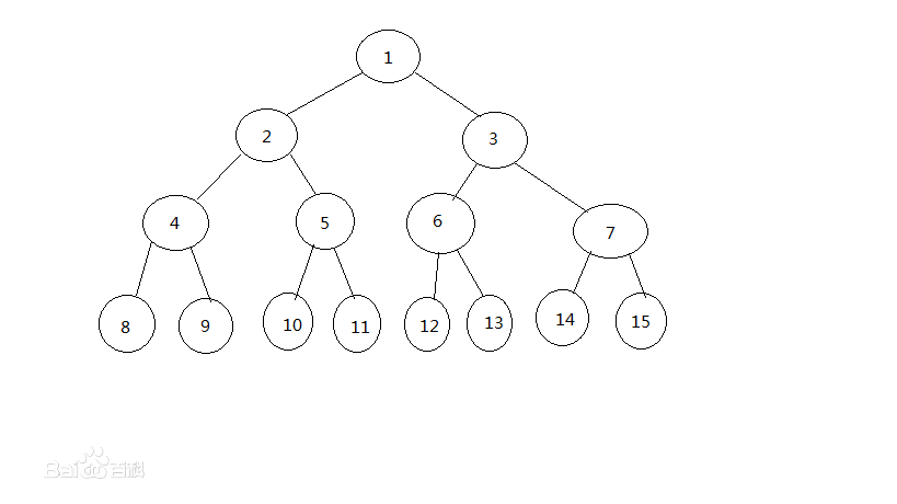
首先,二叉树是每个结点最多有两个子树的树结构。通常子树被称作“左子树”(left subtree)和“右子树”(right subtree)。如图:

每一个根节点最多只有左和右的子节点,在这里,我关注的主要是二叉树的遍历,即先序遍历,中序遍历和后序遍历。
先序遍历可以总结为:根-左-右;
中序遍历可以总结为:左-根-右;
后序遍历可以总结为:左-右-根;
一、先序遍历
先序遍历是先遍历根节点,再遍历左节点最后才是右节点。遍历是从上到下的。以下图为例,会先遍历根节点1,再遍历1的全部左节点才到右节点。

先遍历根节点1,再遍历完1的全部左节点。一开始先遇到根节点2,再遍历2的左节点4,在2的全部左节点遍历完成之后再遍历2的右节点5,至此,1的全部左节点遍历完成,最后遍历1的右节点3.遍历顺序由上至下:
根节点1
1的左节点{
根节点2
2的左节点4
2的右节点5
}
1右节点3
可以看出,所有的节点都遵循了 根-左-右的原则
二、中序遍历
按上面分析,可为
1的左节点{
2的左节点4
根节点2
2的右节点
}
根节点1
1的右节点
三、后序遍历
1的左节点{
2的左节点4
根节点2
2的右节点
}
1的右节点
根节点1
总结,所以,只要按照遍历的规则进行,二叉树的遍历并不像我一开始看的那么难。

浙公网安备 33010602011771号