码分多址
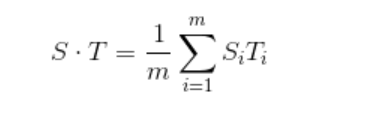
计算公式:

码片相乘求和,并求均值
结果为1发送1
结果为0不发送
结果为-1,发送0
例题:
共有4个站进行码分多址CDMA通信,4个站的码片序列为:
A:(-1 -1 -1 +1 +1 -1 +1 +1) B:(-1 -1 +1 -1 +1 +1 +1 -1)
C:(-1 +1 -1 +1 +1 +1 -1 -1) D:(-1 +1 -1 -1 -1 -1 +1 -1)
现收到这样的码片序列S:( +1 -3 +3 -1 +1 +1 +1 +1)
则站点( )发送数据0
解:
AS = 1(-1) + (-1)(-3) + (-1)(3) + 1(-1) + 11 + 1(-1)+ 11 + 11
AS/8 = 0, A站点没有发送信息
同理:BS/8=1,B站点发送信息1
CS/8=-1,C站点发送信息0
D*S/8=-1,D站点发送信息0
因此ans=C,D

浙公网安备 33010602011771号