pTransE算法的学习
论文的阅读
来源于Modeling Relation Paths for Representation Learning of Knowledge Bases
https://arxiv.org/pdf/1506.00379.pdf
摘要部分
- We argue that multiple-step relation paths also contain rich inference patterns between entities, and propose a path-based representation learning model.
- Since not all relation paths are reliable,we design a path-constraint resource allocation algorithm to measure the reliability of relation paths.
- We represent relation paths via semantic composition of relation embeddings.
引言部分
1. multiple-step relation paths:
2. we aim at extending TransE to model relation paths for representation learning of KBs, and propose path-based TransE (PTransE).
3. Take the 2-step path

4.Relation Path Reliability:it is inappropriate to consider all relation paths in our model.we propose a path-constraint resource allocation algorithm to measure the reliability of relation paths. Afterwards, we select the reliable relation paths for representation learning
5.Relation Path Representation:

提出PTransE模型
1.Our model is expected to return a low energy score when the relation holds, and a high one otherwise.
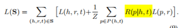
2.评分公式:
这条公式其实可以看成是两个分数的结合,一个是单一embedding的分数,一个是路径预测的分数。而这个算法的目标就是要优化这些分数的表达能力

一连串的p表示path,path是有relation组成

基于head,relation,tail的差距优化,同时优化head,relation,tail向量

基于path_relation与relation差距的优化,其实也在优化relation向量

其实这里的R可以看作是概率,后面的可以看作是一个三元组的分数,执行累加,相当于是求当前路径的期望,然后除Z,相当于是加权平均

3.如何解决Relation Path Reliability
这部分代码的实现与论文的描述有出入,代码是用每一条的概率进行连乘作为路径的概率,随后除path推relation的次数,这个值作为path推relation的Reliability,这个Reliabilty就是一个路径的度量方式

4.如何解决Relation Path Representation
用path去逼近真正的relation

文章提出了三种方式,做了对比实验,其中最好的是adding

5.对head,relation,tail的向量进行优化 (参考TransE);对path与relation的向量进行优化


6.方向的说明
方向都采用正向

7.参数的说明
只采用最大的path长度为3,另外reliability的值应该>0.01

Java代码的学习
源码地址,https://github.com/MaximTian/TransX
数据集 使用的是三国演义人物关系图,对其进行了整理得到相应的三元组,一共有173条数据

入口函数
public class Main {
    private static void PCRA_run() throws IOException {
        File f = new File("resource/path_data/confident.txt");
        if (!f.exists()) {
            PCRA pcra = new PCRA();
            pcra.run();
        }
    }
    public static void main(String[] args) throws IOException {
        System.out.println("Train or test? y/n");
        Scanner sc = new Scanner(System.in);
        boolean train_flag;
        train_flag = sc.next().equals("y");
        if (train_flag) {
            PCRA_run();
            TrainRun trainRun = new TrainRun();
            trainRun.train_run();
        } else {
            TestRun testRun = new TestRun();
            testRun.test_run();
        }
    }
}
初始化变量
relation2id,id2relation,relation_num,head_relation2tail,head_tail2relation,head_tail2path
是用不同的格式存储数据的变量,方便后续的遍历
paths,path2relation,path_valid
是用于拓展路径的变量。paths变量只记录路径中的Relation,而不记录里面的Entity
- paths:用于统计paths的次数
- path2relation:用于统计path推理head的次数
- path_valid: 用于统计满足阈值的路径
public class PCRA {
    private Map<String, Integer> relation2id;
    private Map<Integer, String> id2relation;
    private int relation_num;
    private Map<String, Map<Integer, Set<String>>> head_relation2tail;  // (头实体,关系) -> (尾实体)
    private Map<String, HashSet<Integer>> head_tail2relation;  // (头实体,尾实体) -> (关系)
    private Map<String, Map<String, Double>> head_tail2path;   // (头实体,尾实体) -> (关系路径)
    private Map<String, Integer> paths;  // 记录每条路径,以及该路径出现的次数
    private Map<String, Integer> path2relation;  // 记录每个路径推理的边("path->rel"),已经对应出现的次数
    private Set<String> path_valid;  // 存储符合条件的路径
    private void init() {
        relation2id = new HashMap<>();
        id2relation = new HashMap<>();
        head_relation2tail = new HashMap<>();
        head_tail2relation = new HashMap<>();
        head_tail2path = new HashMap<>();
        paths = new HashMap<>();
        path2relation = new HashMap<>();
        path_valid = new HashSet<>();
    }
拓展路径,计算概率
    public void run() throws IOException {
        init();
        prepare();
        ArrayDeque<String> cur_entity_list = new ArrayDeque<>();
        for (String head: head_relation2tail.keySet()) {
            cur_entity_list.addFirst(head);
            Map<Integer, Set<String>> visit_relation_tail = head_relation2tail.get(head);//获取满足head的relation和tail
            ArrayDeque<Integer> cur_relation_list = new ArrayDeque<>();
            dfs(cur_entity_list, visit_relation_tail, cur_relation_list, 0, 1, 1.0);
            dfs(cur_entity_list, visit_relation_tail, cur_relation_list, 0, 2, 1.0);
            cur_entity_list.removeFirst();
        }
        Write_Path();//path的数量,path的长度,path_relation的内容,概率,path的长度,path_relation的内容,path_relation的概率
        Write_Confident();//path_relation的长度,path_relation的内容,换行,head_relation的个数,head_relation,path_relation推出head_relation的次数*path出现的概率
        calculate_prob("train");//head,tail,relation,换行,path_relation的个数,path_relation的长度,path_relation的内容,path_relation的概率
        calculate_prob("test");//
    }
1.执行deep-first-search,搜索路径。遍历train数据的head,拓展路径
    private void dfs(ArrayDeque<String> entity_list, Map<Integer, Set<String>> relation_tail,
                            ArrayDeque<Integer> relation_list, int depth, int max_depth, double prob) {
        /**
         * entity_list: record those visited entities, to prevent visiting again
         * relation_tail: record the relation_set needed to visit, which is from the last_entity in the entity_list
         * realtion_list: record those visited relations
         */
        if (relation_tail == null && depth < max_depth) {
            return;
        }
        if (depth == max_depth) {
            String head = entity_list.getFirst();
            String tail = entity_list.getLast();
            StringBuilder path = new StringBuilder();
            for (int relation_id: relation_list) {
                if (path.length() > 0) {
                    path.append(" ");
                }
                path.append(String.valueOf(relation_id));
            }
            map_add_path(paths, path.toString());//存储路径,和统计路径的出现次数,paths当中只包含路径中的relation
            if (head_tail2relation.containsKey(head + " " + tail)) {
                Set<Integer> relation_set = head_tail2relation.get(head + " " + tail);
                add_Path2Relation(path2relation, path.toString(), relation_set);// 记录每个路径推理的边("path->rel"),rel是头部的relation
            }
            map_add_RelationPath(head_tail2path, head, tail, path.toString(), prob);// 存储符合条件的路径,存储格式(head,tail),只含relation的path,路径的概率
            return;
        }
        for (int relation_id: relation_tail.keySet()) {
            Set<String> tail_set = relation_tail.get(relation_id);//获取当前relation的tail
            relation_list.addLast(relation_id);//记录路径中的relation
            double cur_prob = prob * (1.0 / tail_set.size());//前一环节的概率,乘当前环节的概率
            for (String tail: tail_set) {
                if (!entity_list.contains(tail)) {//不能与前面的重复
                    entity_list.addLast(tail);//记录路径中的entity
                    Map<Integer, Set<String>> visit_relation_tail = head_relation2tail.get(tail);//获取下一节点的内容
                    dfs(entity_list, visit_relation_tail, relation_list, depth + 1, max_depth, cur_prob);
                    entity_list.removeLast();
                }
            }
            relation_list.removeLast();
        }
    }
2.计算概率
每一跳的概率相乘
            Set<String> tail_set = relation_tail.get(relation_id);//获取当前relation的tail
            relation_list.addLast(relation_id);//记录路径中的relation
            double cur_prob = prob * (1.0 / tail_set.size());//前一环节的概率,乘当前环节的概率
3.统计path的次数
map_add_path(paths, path.toString());//存储路径,和统计路径的出现次数,paths当中只包含路径中的relation
    static void map_add_path(Map<String, Integer> map, String path) {
        if (!map.containsKey(path)) {
            map.put(path, 0);
        }
        map.put(path, map.get(path) + 1);
    }
4.用path2relation统计path与head的关系
path2relation统计path推出head的数量
                add_Path2Relation(path2relation, path.toString(), relation_set);// 记录每个路径推理的边("path->rel"),rel是头部的relation
    static void add_Path2Relation(Map<String, Integer> path2relation_set, String path, Set<Integer> relation_set) {
        for (int relation: relation_set) {
            String path_relation = path + "->" + relation;
            map_add_path(path2relation_set, path_relation);
        }
    }
	
	    static void map_add_path(Map<String, Integer> map, String path) {
        if (!map.containsKey(path)) {
            map.put(path, 0);
        }
        map.put(path, map.get(path) + 1);
    }
	
5.统计训练数据对应的路径,以及匹配path的概率和
以一个head_tail为单位,对其中中相同path的概率求和
这里的head,tail不一定是数据集当中存在的三元组,只是拓展的多跳路径中存在
map_add_RelationPath(head_tail2path, head, tail, path.toString(), prob);// 存储符合条件的路径,存储格式(head,tail),只含relation的path,路径的概率
    static void map_add_RelationPath(Map<String, Map<String, Double>> map, String head, String tail,
                                     String relation_path, double prob) {
        String head_tail = head + " " + tail;
        if (!map.containsKey(head_tail)) {
            map.put(head_tail, new HashMap<>());
        }
        Map<String, Double> path_set = map.get(head_tail);
        if (!path_set.containsKey(relation_path)) {//若map中不存在这条路径,先初始化
            path_set.put(relation_path, 0.0);
        }
        path_set.put(relation_path, path_set.get(relation_path) + prob);
    }
6.将前面统计的结果写入文件当中
        Write_Path();//path的数量,path的长度,path_relation的内容,概率,path的长度,path_relation的内容,path_relation的概率
        Write_Confident();//path_relation的长度,path_relation的内容,换行,head_relation的个数,head_relation,path_relation推出head_relation的次数*path出现的概率
        calculate_prob("train");//head,tail,relation,换行,path_relation的个数,path_relation的长度,path_relation的内容,path_relation的概率
        calculate_prob("test");//
7.将满足的path值写入path.txt文件当中
在写入path之前,要对path进行筛选。以head_tail为单位,对它所附属的path进行归一化,然后检查path是否满足阈值。head_tail2path的key是head和tail,value是多条path以及path对应的概率
path.txt的内容如下图所示.包含headtail与path的关系
head tail 换行
path的个数,path的长度,path的内容,path的概率


    private void Write_Path() throws IOException {
        File f = new File("resource/path_data/path.txt");
        OutputStreamWriter writer = new OutputStreamWriter(new FileOutputStream(f), "UTF-8");
        int i=0;
        int j=0;
        Set<String> sets=new HashSet<>();
        sets.addAll(head_relation2tail.keySet());
        sets.addAll(tail_relation2head.keySet());
        for (String head: sets) {
            for (String tail: sets) {
                if (head.equals(tail)) {
                    continue;
                }
                String head_tail = head + " " + tail;
                if (head_tail2path.containsKey(head_tail)) {//从head_tail2path选出合适的路径
                    i++;
                    Map<String, Double> path_prob_valid = generate_valid_path(head_tail2path, head_tail);
                    writer.write(head_tail + "\n");
                    writer.write(String.valueOf(path_prob_valid.size()));
                    for (String path: path_prob_valid.keySet()) {
                        path_valid.add(path);//path_relation
                        String[] split_path = path.split(" ");
                        writer.write(" " + String.valueOf(split_path.length) + " " + path
                                + " " + String.valueOf(path_prob_valid.get(path)));//path的长度,relation_path的内容,概率+" "+path的长度,relation_path的内容,概率
                    }
                    writer.write("\n");
                    writer.flush();
                }
            }
//            System.out.println(i);
        }
    }
	
	
	static Map<String, Double> generate_valid_path(Map<String, Map<String, Double>> head_tail2path, String head_tail) {
        Map<String, Double> path_prob = new HashMap<>();  // 记录所有路径以及相应的路径概率
        Map<String, Double> path_prob_valid = new HashMap<>();  // 记录符合概率阈值的路径
        double sum = 0.0;  // 用于归一化
        Map<String, Double> path_set = head_tail2path.get(head_tail);
        for (String path: path_set.keySet()) {
            double prob = path_set.get(path);
            path_prob.put(path, prob);
            sum += prob;
        }
        for (String path: path_prob.keySet()) {
            double prob = path_prob.get(path) / sum;
            path_prob.put(path, prob);
            if (prob > 0.01) { // 筛选条件
                path_prob_valid.put(path, prob);
            }
        }
        return path_prob_valid;
    }
8.计算path的confidence,将满足的写入confident.txt文件中
代码中有几个变量值得注意
- prob:1/path出现的次数
- path2relation.get(tmp_path2relation):path推导出head的次数
- confidence: path2relation.get(tmp_path2relation)*prob
confident.txt的文件格式如下,包含path与headrelation关系的内容
path的长度 path的内容 换行
path可推导的headrelation的个数 headrelation的内容 path推headrelation的概率

Write_Confident();//path_relation的长度,path_relation的内容,换行,head_relation的个数,head_relation,path_relation推出head_relation的次数*path出现的概率
    private void Write_Confident() throws IOException {
        /**
         * path_length, path
         * relation counts, (relation, prob) ...
          */
        File f = new File("resource/path_data/confident.txt");
        OutputStreamWriter writer = new OutputStreamWriter(new FileOutputStream(f), "UTF-8");
        for (String path: path_valid) {//path_relation
            List<String> out_list = new ArrayList<>();
            for (int i = 0; i < relation_num; i++) {
                String tmp_path2relation = String.format("%s->%d", path, i);
                if (path2relation.containsKey(tmp_path2relation)) {//("path->rel"),path是body的relation,rel是头部的relation
                    double prob = 1.0 / paths.get(path);//path出现的次数
                    String str = String.format(" %d %f", i, path2relation.get(tmp_path2relation) * prob);//head_relation,path_relation推出head_relation的次数*path出现的概率
                    out_list.add(str);
                }
            }
            if (!out_list.isEmpty()) {
                writer.write(String.format("%d %s\n", path.split(" ").length, path));//path_relation的长度,path_relation的内容,换行
                writer.write(String.valueOf(out_list.size()));//head_relation的个数
                for (String out: out_list) {
                    writer.write(out);//head_relation,path_relation推出head_relation的次数*path出现的概率
                }
                writer.write("\n");
                writer.flush();
            }
        }
    }
9.对前面的数据进行过滤,将数据写入train_prob.txt与test_prob.txt
仅保存训练集或者测试集当中存在的数据
存储格式如下图所示

head tail relationid 换行
path的个数,path的长度,path的内容,path的概率
calculate_prob("train");//head,tail,relation,换行,path_relation的个数,path_relation的长度,path_relation的内容,path_relation的概率
        calculate_prob("test");//
    private void calculate_prob(String file_name) throws IOException {
        File f = new File(String.format("resource/data/%s.txt", file_name));
        BufferedReader reader = new BufferedReader(new InputStreamReader(new FileInputStream(f),"UTF-8"));
        f = new File(String.format("resource/path_data/%s_prob.txt", file_name));
        OutputStreamWriter writer = new OutputStreamWriter(new FileOutputStream(f), "UTF-8");
        String line;
        while ((line = reader.readLine()) != null) {//读取train_data的数据
            String[] split_data = line.split("\t");
            String head = split_data[0];
            String tail = split_data[1];
            int relation_id = relation2id.get(split_data[2]);
            String head_tail = head + " " + tail;
            Map<String, Double> path_prob_valid = new HashMap<>();  // 记录符合概率阈值的路径
            if (head_tail2path.containsKey(head_tail)) {
                path_prob_valid = generate_valid_path(head_tail2path, head_tail);//path,概率
            }
            writer.write(String.format("%s %s %d\n", head, tail, relation_id));//head,tail,relation,换行
            writer.write(String.valueOf(path_prob_valid.size()));//path_relation的个数
            for (String path: path_prob_valid.keySet()) {
                String[] split_path = path.split(" ");
                writer.write(String.format(" %d %s %f", split_path.length, path, path_prob_valid.get(path)));//path_relation的长度,path_relation的内容,path_relation的概率
            }
            writer.write("\n");
            /**
             * to do reverse
             */
            writer.flush();
        }
    }
训练的部分
1.训练函数的入口
    public void train_run() throws IOException {
        int nepoch = 1200;
        int nbatches = 150;
        System.out.printf("iteration times = %s\n", nepoch);
        System.out.printf("nbatches = %s\n", nbatches);
        train = new Train();
        prepare();
        train.run(nepoch, nbatches);
    }
2.读取前面PCRA部分生成的文件
读取的格式如下所示,head,relation,tail,path以及path对应的概率
其中有几个变量值得注意
- fb_h:所有的head节点
- fb_r:所有的relation节点
- fb_l: 所有的tail节点
- fb_path2prob:路径列表和它对应的概率
- head_relation2tail: key是head和relation,value是tail
- path_confidence: path推导relation, path推导relation的概率
train.add(head_id, relation_id, tail_id, path2prob_list);
    private void prepare() throws IOException {
        GlobalValueInit();
        entity_num = Read_Data("resource/data/entity2id.txt", entity2id, id2entity);
        relation_num = Read_Data("resource/data/relation2id.txt", relation2id, id2relation);
        File f = new File("resource/path_data/train_prob.txt");
        BufferedReader reader = new BufferedReader(new InputStreamReader(new FileInputStream(f),"UTF-8"));
        String line;
        while ((line = reader.readLine()) != null) {
            String[] split_data = line.split(" ");
            int head_id = entity2id.get(split_data[0]);
            int tail_id = entity2id.get(split_data[1]);
            int relation_id = Integer.valueOf(split_data[2]);
            String[] path_info = reader.readLine().split(" ");
            List<Pair<List<Integer>, Double>> path2prob_list = new ArrayList<>();
            for (int i = 1; i < path_info.length;) {
                int path_length = Integer.valueOf(path_info[i]);
                List<Integer> relation_id_list = new ArrayList<>();
                for (int j = 1; j <= path_length; j++) {
                    relation_id_list.add(Integer.valueOf(path_info[i + j]));
                }
                double prob = Double.valueOf(path_info[i + path_length + 1]);
                Pair<List<Integer>, Double> path2prob = new Pair<>(relation_id_list, prob);
                path2prob_list.add(path2prob);
                i += path_length + 2;
            }
            train.add(head_id, relation_id, tail_id, path2prob_list);
        }
        f = new File("resource/path_data/confident.txt");
        reader = new BufferedReader(new InputStreamReader(new FileInputStream(f),"UTF-8"));
        while ((line = reader.readLine()) != null) {
            String[] line_split = line.split(" ");
            StringBuilder path = new StringBuilder();
            for (int i = 1; i < line_split.length; i++) {
                if (path.length() > 0) path.append(" ");
                path.append(line_split[i]);
            }
            String[] path_info = reader.readLine().split(" ");
            for (int i = 1; i < path_info.length; i += 2) {
                int relation_id = Integer.valueOf(path_info[i]);
                double prob = Double.valueOf(path_info[i + 1]);
                Pair<String, Integer> path2relation = new Pair<>(path.toString(), relation_id);
                path_confidence.put(path2relation, prob);
            }
        }
        System.out.printf("entity number = %s\n", entity_num);
        System.out.printf("relation number = %s\n", relation_num);
    }
    void add(int head, int relation, int tail, List<Pair<List<Integer>, Double>> path2prob_list) {
        fb_h.add(head);
        fb_r.add(relation);
        fb_l.add(tail);
        fb_path2prob.add(path2prob_list);
        Pair<Integer, Integer> key = new Pair<>(head, relation);
        if (!head_relation2tail.containsKey(key)) {
            head_relation2tail.put(key, new HashSet<>());
        }
        Set<Integer> tail_set = head_relation2tail.get(key);
        tail_set.add(tail);
    }
3.初始化向量
初始化entity向量以及relation的向量,它们的向量长度是相同的
    void run(int nepoch, int nbatches) throws IOException {
        relation_vec = new double[relation_num][vector_len];
        entity_vec = new double[entity_num][vector_len];
        for (int i = 0; i < relation_num; i++) {
            for (int j = 0; j < vector_len; j++) {
                relation_vec[i][j] = uniform(-6 / sqrt(vector_len), 6 / sqrt(vector_len));
            }
        }
        for (int i = 0; i < entity_num; i++) {
            for (int j = 0; j < vector_len; j++) {
                entity_vec[i][j] = uniform(-6 / sqrt(vector_len), 6 / sqrt(vector_len));
            }
            norm(entity_vec[i], vector_len);
        }
        bfgs(nepoch, nbatches);
    }
4.计算embedding的损失值,采用随机梯度下降更新向量
类似于TransE
    private void bfgs(int nepoch, int nbatches) throws IOException {
        int batchsize = fb_h.size() / nbatches;
        System.out.printf("Batch size = %s\n", batchsize);
        for (int epoch = 0; epoch < nepoch; epoch++) {
            // region private members
            //loss function value
            loss = 0;
            for (int batch = 0; batch < nbatches; batch++) {
                for (int k = 0; k < batchsize; k++) {
                    int pos = rand_max(fb_h.size());  // 随机选取一行三元组, 行号
                    int tmp_rand = rand() % 100;
                    if (tmp_rand < 25) {
                        int tail_neg = rand_max(entity_num);
                        tail_neg = random_tail(pos, tail_neg);
                        loss = train_kb(fb_h.get(pos), fb_l.get(pos), fb_r.get(pos), fb_h.get(pos), tail_neg, fb_r.get(pos), loss);
                        norm(entity_vec[tail_neg], vector_len);
                    } else if (tmp_rand < 50) {
                        int head_neg = rand_max(entity_num);
                        head_neg = random_head(pos, head_neg);
                        loss = train_kb(fb_h.get(pos), fb_l.get(pos), fb_r.get(pos), head_neg, fb_l.get(pos), fb_r.get(pos), loss);
                        norm(entity_vec[head_neg], vector_len);
                    } else {
                        int relation_neg = rand_max(relation_num);
                        relation_neg = random_relation(pos, relation_neg); // 若某一对实体之间存在所有的关系,则陷入死循环
                        loss = train_kb(fb_h.get(pos), fb_l.get(pos), fb_r.get(pos), fb_h.get(pos), fb_l.get(pos), relation_neg, loss);
                        norm(relation_vec[relation_neg], vector_len);
                    }
                    update_relation(pos);
                    norm(relation_vec[fb_r.get(pos)], vector_len);
                    norm(entity_vec[fb_h.get(pos)], vector_len);
                    norm(entity_vec[fb_l.get(pos)], vector_len);
                }
            }
            System.out.printf("epoch: %s %s\n", epoch, loss);
        }
        Write_Vec2File("resource/result/relation2vec.txt", relation_vec, relation_num);
        Write_Vec2File("resource/result/entity2vec.txt", entity_vec, entity_num);
    }
损失值的计算
    static double train_kb(int head_a, int tail_a, int relation_a, int head_b, int tail_b, int relation_b, double res) {
        double sum1 = calc_sum(head_a, tail_a, relation_a);
        double sum2 = calc_sum(head_b, tail_b, relation_b);
        if (sum1 + margin > sum2) {
            res += margin + sum1 - sum2;
            gradient(head_a, tail_a, relation_a, -1);
            gradient(head_b, tail_b, relation_b, 1);
        }
        return res;
    }
    static double calc_sum(int e1, int e2, int rel) {
        double sum = 0;
        for (int i = 0; i < vector_len; i++) {
            sum += abs(entity_vec[e2][i] - entity_vec[e1][i] - relation_vec[rel][i]);
        }
        return sum;
    }
    private static void gradient(int head, int tail, int relation, int beta) {
        for (int i = 0; i < vector_len; i++) {
            double delta = entity_vec[tail][i] - entity_vec[head][i] - relation_vec[relation][i];
            double x = (delta > 0) ? 1 : -1;
            relation_vec[relation][i] -= x * learning_rate * beta;
            entity_vec[head][i] -= x * learning_rate * beta;
            entity_vec[tail][i] += x * learning_rate * beta;
        }
    }
5.计算路径的损失值
    private void update_relation(int pos) {
        int relation_neg = rand_max(relation_num);
        relation_neg = random_relation(pos, relation_neg);
        List<Pair<List<Integer>, Double>> path2prob_list = fb_path2prob.get(pos);
        for (Pair<List<Integer>, Double> path2prob: path2prob_list) {
            List<Integer> path = path2prob.a;
            double prob = path2prob.b;
            StringBuilder str = new StringBuilder();
            for (int path_id: path) {
                if (str.length() > 0) str.append(" ");
                str.append(path_id);
            }
            Pair<String, Integer> tmp_path2rel = new Pair<>(str.toString(), fb_r.get(pos));
            double tmp_confidence = 0;
            if (path_confidence.containsKey(tmp_path2rel)) {
                tmp_confidence = path_confidence.get(tmp_path2rel);
            }
            tmp_confidence = (0.99 * tmp_confidence + 0.01) * prob;
            train_path(fb_r.get(pos), relation_neg, path, tmp_confidence, loss);
        }
    }
    static double train_path(int relation, int neg_relation, List<Integer> path, double alpha, double loss) {
        double sum1 = calc_path(relation, path);
        double sum2 = calc_path(neg_relation, path);
        if (sum1 + margin_relation > sum2) {
            loss += alpha * (sum1 + margin_relation - sum2);
            gradient_path(relation, path, -1 * alpha);
            gradient_path(neg_relation, path, alpha);
        }
        return loss;
    }
计算损失值
一个relation减去多个path同一位置的元素。在更新的时候,假设有这么一对数据(h,r,t),(h,p1,p2,p3,t),更新的时候要更新r,p1,p2,p3,它们都属于relation向量
    static private double calc_path(int relation, List<Integer> path) {
        double sum = 0;
        for (int i = 0; i < vector_len; i++) {
            double x = relation_vec[relation][i];
            for (int path_id : path) {
                x -= relation_vec[path_id][i];
            }
            sum += abs(x);
        }
        return sum;
    }
    static private void gradient_path(int relation, List<Integer> path, double beta) {
        /**
         * 相关联的路径和关系之间的空间位置相近,反之疏远
         */
        for (int i = 0; i < vector_len; i++) {
            double x = relation_vec[relation][i];
            for (int path_id: path) {
                x -= relation_vec[path_id][i];
            }
            int flag = (x > 0) ? 1 : -1;
            relation_vec[relation][i] += beta * learning_rate * flag;
            for (int path_id : path) {
                relation_vec[path_id][i] -= beta * learning_rate * flag;
            }
        }
    }
预测
将预测的过程写入到output_detail.txt文件中
结果将会输出图片所示的内容

    public void run() throws IOException {
        relation_vec = new double[relation_num][vector_len];
        entity_vec = new double[entity_num][vector_len];
        Read_Vec_File("resource/result/relation2vec.txt", relation_vec);
        Read_Vec_File("resource/result/entity2vec.txt", entity_vec);
        int lsum = 0, rsum = 0;
        int lp_n = 0, rp_n = 0;
        Map<Integer, Integer> lsum_r = new HashMap<>();
        Map<Integer, Integer> rsum_r = new HashMap<>();
        Map<Integer, Integer> lp_n_r = new HashMap<>();
        Map<Integer, Integer> rp_n_r = new HashMap<>();
        Map<Integer, Integer> rel_num = new HashMap<>();
        File out_file = new File("resource/result/output_detail.txt");
        OutputStreamWriter writer = new OutputStreamWriter(new FileOutputStream(out_file), "UTF-8");
        System.out.printf("Total iterations = %s\n", fb_l.size());
        for (int id = 0; id < fb_l.size(); id++) {
            System.out.println(id);
            int head = fb_h.get(id);
            int tail = fb_l.get(id);
            int relation = fb_r.get(id);
            relation_add(rel_num, relation);
            List<Pair<Integer, Double>> head_dist = new ArrayList<>();
            for (int i = 0; i < entity_num; i++) {
                if (hrt_isvalid(i, relation, tail)) {
                    continue;
                }
                double sum = calc_sum(i, tail, relation);//计算所有组合的距离
                head_dist.add(new Pair<>(i, sum));
            }
            Collections.sort(head_dist, (o1, o2) -> Double.compare(o1.b, o2.b));//对headlist排序
            for (int i = 0; i < head_dist.size(); i++) {
                int cur_head = head_dist.get(i).a;
                if (cur_head == head) {
                    lsum += i; // 统计小于<h, l, r>距离的数量
                    map_add_value(lsum_r, relation, i);
                    if (i <= 10) {
                        lp_n++;
                        map_add_value(lp_n_r, relation, 1);
                    }
                    String str = String.format("%s  %s  %s, dist=%f, %d\n\n", id2entity.get(head), id2relation.get(relation),
                            id2entity.get(tail), calc_sum(head, tail, relation), i);
                    writer.write(str);
                    writer.flush();
                    break;
                } else {
                    String temp_str = String.format("%s  %s  %s, dist=%f, %d\n", id2entity.get(cur_head), id2relation.get(relation),
                            id2entity.get(tail), calc_sum(cur_head, tail, relation), i);
                    writer.write(temp_str);
                    writer.flush();
                }
            }
            List<Pair<Integer, Double>> tail_dist = new ArrayList<>();//预测尾
            for (int i = 0; i < entity_num; i++) {
                if (hrt_isvalid(head, relation, i)) {
                    continue;
                }
                double sum = calc_sum(head, i, relation);
                tail_dist.add(new Pair<>(i, sum));
            }
            Collections.sort(tail_dist, (o1, o2) -> Double.compare(o1.b, o2.b));
            for (int i = 0; i < tail_dist.size(); i++) {
                int cur_tail = tail_dist.get(i).a;
                if (cur_tail == tail) {
                    rsum += i;
                    map_add_value(rsum_r, relation, i);
                    if (i <= 10) {
                        rp_n++;
                        map_add_value(rp_n_r, relation, 1);
                    }
                    break;
                }
            }
        }
        System.out.printf("lsum = %s, tail number = %s\n", lsum, fb_l.size());
        System.out.printf("left: %s\t%s\n", (lsum * 1.0) / fb_l.size(), (lp_n * 1.0) / fb_l.size());
        System.out.printf("right: %s\t%s\n", (rsum * 1.0) / fb_h.size(), (rp_n * 1.0) / fb_h.size());
    }
 
                    
                
 
                
            
         浙公网安备 33010602011771号
浙公网安备 33010602011771号