Deep Supervised Discrete Hashing
该篇论文发表于NIPS 2017,主要的想法是采用CNN结构的深度神经网络来学习哈希码,与大部分深度哈希相似,其主要的创新点是:将哈希函数学习的哈希stream与框架中的分类stream结合在一起来学习哈希函数,以使得学习到的哈希函数生成的哈希码具有更好的分类效果,使得哈希码更离散化。
哈希码学习的损失函数:

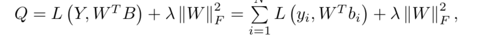
分类的损失函数是:


所以总的损失函数是:

优化方式和DPAH类似
该篇论文发表于NIPS 2017,主要的想法是采用CNN结构的深度神经网络来学习哈希码,与大部分深度哈希相似,其主要的创新点是:将哈希函数学习的哈希stream与框架中的分类stream结合在一起来学习哈希函数,以使得学习到的哈希函数生成的哈希码具有更好的分类效果,使得哈希码更离散化。
哈希码学习的损失函数:

分类的损失函数是:


所以总的损失函数是:

优化方式和DPAH类似