【碧蓝航线】基于 Wiki 伤害公式的防空炮理论分析与排名
原始数据
将将碧蓝 wiki 防空炮栏目数据表【1】中的有用数据抽取出,整理如下:
|
名称 |
标准伤害(/轮) |
标准射速(s/轮) |
强满伤害(/轮) |
强满射速(s/轮) |
射程 |
防空 |
|
102mm高射炮T1 |
19 |
1.48 |
28 |
1.39 |
32 |
5 |
|
102mm高射炮T2 |
21 |
1.41 |
42 |
1.24 |
32 |
12 |
|
102mm高射炮T3 |
25 |
1.34 |
63 |
1.06 |
32 |
25 |
|
12.7mm防空机枪T1 |
6 |
0.42 |
9 |
0.39 |
15 |
0 |
|
12.7mm防空机枪T2 |
8 |
0.4 |
11 |
0.37 |
15 |
5 |
|
12.7mm防空机枪T3 |
8 |
0.38 |
15 |
0.33 |
15 |
12 |
|
127mm连装高射炮T1 |
32 |
2.09 |
47 |
1.97 |
35 |
5 |
|
127mm连装高射炮T2 |
39 |
2 |
77 |
1.76 |
35 |
12 |
|
127mm连装高射炮T3 |
46 |
1.9 |
116 |
1.52 |
35 |
25 |
|
20mm厄利空高射炮T1 |
8 |
0.6 |
12 |
0.55 |
18 |
0 |
|
20mm厄利空高射炮T2 |
9 |
0.57 |
14 |
0.53 |
18 |
5 |
|
20mm厄利空高射炮T3 |
11 |
0.54 |
20 |
0.47 |
18 |
12 |
|
25mm三连装高射机枪T1 |
16 |
0.88 |
24 |
0.82 |
20 |
5 |
|
25mm三连装高射机枪T2 |
18 |
0.84 |
36 |
0.73 |
20 |
12 |
|
25mm三连装高射机枪T3 |
22 |
0.79 |
54 |
0.64 |
20 |
25 |
|
25mm连装高射机枪T1 |
13 |
0.84 |
19 |
0.78 |
20 |
5 |
|
25mm连装高射机枪T2 |
14 |
0.8 |
28 |
0.7 |
20 |
12 |
|
25mm连装高射机枪T3 |
16 |
0.76 |
40 |
0.61 |
20 |
25 |
|
25mm高射机枪T1 |
8 |
0.67 |
12 |
0.63 |
20 |
0 |
|
25mm高射机枪T2 |
9 |
0.63 |
14 |
0.59 |
20 |
5 |
|
25mm高射机枪T3 |
11 |
0.61 |
21 |
0.53 |
20 |
12 |
|
37mm手拉机枪T1 |
8 |
0.78 |
12 |
0.74 |
23 |
0 |
|
37mm手拉机枪T2 |
11 |
0.75 |
16 |
0.7 |
23 |
5 |
|
37mm手拉机枪T3 |
12 |
0.72 |
24 |
0.63 |
23 |
12 |
|
76mm高射炮T1 |
16 |
1.22 |
24 |
1.16 |
30 |
5 |
|
76mm高射炮T1(重樱) |
16 |
1.22 |
24 |
1.16 |
30 |
5 |
|
76mm高射炮T2 |
18 |
1.16 |
36 |
1.02 |
30 |
12 |
|
76mm高射炮T3 |
22 |
1.11 |
54 |
0.88 |
30 |
25 |
|
八联装40mm“砰砰”炮T1 |
42 |
1.61 |
80 |
1.42 |
25 |
12 |
|
八联装40mm“砰砰”炮T2 |
46 |
1.54 |
117 |
1.23 |
25 |
25 |
|
八联装40mm“砰砰”炮T3 |
50 |
1.46 |
128 |
1.17 |
25 |
45 |
|
双管20mm厄利空高射炮T1 |
14 |
0.71 |
20 |
0.67 |
18 |
5 |
|
双管20mm厄利空高射炮T2 |
15 |
0.68 |
30 |
0.6 |
18 |
12 |
|
双管20mm厄利空高射炮T3 |
18 |
0.65 |
45 |
0.52 |
18 |
25 |
|
双联105mmSKC高炮T1 |
34 |
1.7 |
68 |
1.5 |
32 |
12 |
|
双联105mmSKC高炮T2 |
41 |
1.62 |
102 |
1.3 |
32 |
25 |
|
双联105mmSKC高炮T3 |
49 |
1.54 |
122 |
1.24 |
32 |
45 |
|
双联37mm手拉机枪T1 |
15 |
1.1 |
22 |
1.03 |
23 |
5 |
|
双联37mm手拉机枪T2 |
17 |
1.05 |
34 |
0.92 |
23 |
12 |
|
双联37mm手拉机枪T3 |
20 |
1 |
50 |
0.63 |
23 |
25 |
|
双联40mm博福斯对空机炮T1 |
19 |
1 |
29 |
1.04 |
28 |
5 |
|
双联40mm博福斯对空机炮T2 |
23 |
1.05 |
45 |
0.92 |
28 |
12 |
|
双联40mm博福斯对空机炮T3 |
25 |
1 |
62 |
0.79 |
28 |
25 |
|
双联装113mm高射炮T1 |
38 |
1.89 |
75 |
1.66 |
35 |
12 |
|
双联装113mm高射炮T2 |
45 |
1.8 |
112 |
1.44 |
35 |
25 |
|
双联装113mm高射炮T3 |
52 |
1.71 |
130 |
1.36 |
35 |
45 |
|
双联装40mm“砰砰”炮T1 |
14 |
1.1 |
21 |
1.04 |
25 |
0 |
|
双联装40mm“砰砰”炮T2 |
19 |
1.05 |
29 |
0.98 |
25 |
5 |
|
双联装40mm“砰砰”炮T3 |
23 |
1 |
45 |
0.88 |
25 |
12 |
|
四联40mm博福斯对空机炮T1 |
38 |
1.42 |
76 |
1.26 |
28 |
12 |
|
四联40mm博福斯对空机炮T2 |
43 |
1.36 |
108 |
1.09 |
28 |
25 |
|
四联40mm博福斯对空机炮T3 |
48 |
1.29 |
120 |
1.04 |
28 |
45 |
|
四联装20mm MG机枪T1 |
17 |
0.99 |
26 |
0.93 |
18 |
0 |
|
四联装20mm MG机枪T2 |
20 |
0.94 |
31 |
0.89 |
18 |
5 |
|
四联装20mm MG机枪T3 |
23 |
0.9 |
46 |
0.79 |
18 |
12 |
|
四联装28mm“芝加哥钢琴”T1 |
22 |
1.2 |
34 |
1.14 |
21 |
5 |
|
四联装28mm“芝加哥钢琴”T2 |
25 |
1.15 |
50 |
1.01 |
21 |
12 |
|
四联装28mm“芝加哥钢琴”T3 |
29 |
1.1 |
72 |
0.87 |
21 |
25 |
|
四联装40mm“砰砰”炮T1 |
27 |
1.42 |
40 |
1.34 |
25 |
5 |
|
四联装40mm“砰砰”炮T2 |
30 |
1.36 |
60 |
1.2 |
25 |
12 |
|
四联装40mm“砰砰”炮T3 |
34 |
1.29 |
84 |
1.04 |
25 |
25 |
|
毘式40mm连装机枪T1 |
19 |
1.1 |
29 |
1.03 |
24 |
5 |
|
毘式40mm连装机枪T2 |
22 |
1.05 |
43 |
0.92 |
24 |
12 |
|
毘式40mm连装机枪T3 |
26 |
1 |
65 |
0.79 |
24 |
25 |
公式分析
在碧蓝海事局的各类计算公式栏目中,关于防空炮数据的计算公式一共有三个,分别是对实战单次伤害的计算公式,对全阵营防空炮平均射速的计算公式,以及对全阵营防空炮平均范围的计算公式。由于这里我们要对武器做系统分析,如果能保证队伍中每个成员的最优性,则队伍的平均属性也不会太差,因此我们着重研究第一个公式,也就是实战单次伤害计算公式【2】:
实战单次伤害 = 武器面板x武器效率x {[100 + 防空值x (1 + 阵型 + 属性技能)] x 1%} x 等级压制 x (1 + 弹药Buff) x (1 + 敌人Debuff) x 随机波动(50% ~ 100%)
不妨将公式中的变量进行分类:
由武器决定的变量:面板伤害 防空值
设由武器决定的变量为武器变量系w = (w1, w2)
注:w的分量w1和w2分别代表“面板伤害”和“防空值”,后文的表示方式同理。
由船决定的变量:武器效率 防空值 属性技能 敌人Debuff
设由船决定的变量为船变量系s = (s1, s2, s3, s4)
由战场决定的变量:等级压制 阵型 弹药Buff
设由战场决定的变量为外变量系 b = (b1, b2, b3)
设实战单次伤害为A,随机波动为常数k(0.5 < k < 1)则原公式记为:
A = w1 s1 [100 + 0.01 (w2 + s2) (1 + b2 + s3)] b1 (1 + b3) (1 + s4) k
按照不同变量系分离部分变量得:
A = k w1 [b1 (1 + b3)] [s1 (1 + s4)] [100 + 0.01 (w2 + s2) (1 + b2 + s3)]
由于我们要研究武器对伤害的影响,因此要将当前可简化的与武器变量系w无关的变量都简化掉,可设常数C = k [b1 (1 + b3)] [s1 (1 + s4)], 公式化为
A = C w1 [100 + 0.01 (w2 + s2) (1 + b2 + s3)]
为了比较w1与w2的变化对A变化的影响程度,我们分别将A对w1和w2求偏导数:

为了比较两者的影响程度,将两偏导数做商:

由于w1 是面板伤害,根据原始数据表可知其最大值为130,即 w1 ≤ 130
b2 是阵型Buff,对于防空来说其最大值于轮型阵护卫【3】状态产生,为20%,即b2 ≤ 0.2
s3 是属性技能,关于防空的属性技能最高为50%,如圣地亚哥和Z46,即s3 ≤ 0.5
所以上式

因此w1的变化对A变化的影响程度要远大于w2的变化对A变化的影响程度,即面板伤害值对单次伤害的影响要远大于防空炮防空值的影响。另外根据原始数据表可知全体防空炮防空值的极差为45,即使是防空值最大的差别对于单次伤害的影响也不足面板伤害差别1个数值的影响,因此可以对防空炮的防空值这一变量不做考虑,因为对伤害起决定性作用的还是面板数据。
简化数据
由于刚刚已经证实可以忽略防空炮的防空值对单次伤害的影响,我们可以删掉数据表中的防空一列。而武器强化是迟早的事,我们肯定希望比较不同防空炮强满状态的强弱,因此又可以删除数据表中的标准伤害和标准射速列,最终得到简化数据表:
|
名称 |
强满伤害(/轮) |
强满射速(s/轮) |
射程 |
|
102mm高射炮T1 |
28 |
1.39 |
32 |
|
102mm高射炮T2 |
42 |
1.24 |
32 |
|
102mm高射炮T3 |
63 |
1.06 |
32 |
|
12.7mm防空机枪T1 |
9 |
0.39 |
15 |
|
12.7mm防空机枪T2 |
11 |
0.37 |
15 |
|
12.7mm防空机枪T3 |
15 |
0.33 |
15 |
|
127mm连装高射炮T1 |
47 |
1.97 |
35 |
|
127mm连装高射炮T2 |
77 |
1.76 |
35 |
|
127mm连装高射炮T3 |
116 |
1.52 |
35 |
|
20mm厄利空高射炮T1 |
12 |
0.55 |
18 |
|
20mm厄利空高射炮T2 |
14 |
0.53 |
18 |
|
20mm厄利空高射炮T3 |
20 |
0.47 |
18 |
|
25mm三连装高射机枪T1 |
24 |
0.82 |
20 |
|
25mm三连装高射机枪T2 |
36 |
0.73 |
20 |
|
25mm三连装高射机枪T3 |
54 |
0.64 |
20 |
|
25mm连装高射机枪T1 |
19 |
0.78 |
20 |
|
25mm连装高射机枪T2 |
28 |
0.7 |
20 |
|
25mm连装高射机枪T3 |
40 |
0.61 |
20 |
|
25mm高射机枪T1 |
12 |
0.63 |
20 |
|
25mm高射机枪T2 |
14 |
0.59 |
20 |
|
25mm高射机枪T3 |
21 |
0.53 |
20 |
|
37mm手拉机枪T1 |
12 |
0.74 |
23 |
|
37mm手拉机枪T2 |
16 |
0.7 |
23 |
|
37mm手拉机枪T3 |
24 |
0.63 |
23 |
|
76mm高射炮T1 |
24 |
1.16 |
30 |
|
76mm高射炮T1(重樱) |
24 |
1.16 |
30 |
|
76mm高射炮T2 |
36 |
1.02 |
30 |
|
76mm高射炮T3 |
54 |
0.88 |
30 |
|
八联装40mm“砰砰”炮T1 |
80 |
1.42 |
25 |
|
八联装40mm“砰砰”炮T2 |
117 |
1.23 |
25 |
|
八联装40mm“砰砰”炮T3 |
128 |
1.17 |
25 |
|
双管20mm厄利空高射炮T1 |
20 |
0.67 |
18 |
|
双管20mm厄利空高射炮T2 |
30 |
0.6 |
18 |
|
双管20mm厄利空高射炮T3 |
45 |
0.52 |
18 |
|
双联105mmSKC高炮T1 |
68 |
1.5 |
32 |
|
双联105mmSKC高炮T2 |
102 |
1.3 |
32 |
|
双联105mmSKC高炮T3 |
122 |
1.24 |
32 |
|
双联37mm手拉机枪T1 |
22 |
1.03 |
23 |
|
双联37mm手拉机枪T2 |
34 |
0.92 |
23 |
|
双联37mm手拉机枪T3 |
50 |
0.63 |
23 |
|
双联40mm博福斯对空机炮T1 |
29 |
1.04 |
28 |
|
双联40mm博福斯对空机炮T2 |
45 |
0.92 |
28 |
|
双联40mm博福斯对空机炮T3 |
62 |
0.79 |
28 |
|
双联装113mm高射炮T1 |
75 |
1.66 |
35 |
|
双联装113mm高射炮T2 |
112 |
1.44 |
35 |
|
双联装113mm高射炮T3 |
130 |
1.36 |
35 |
|
双联装40mm“砰砰”炮T1 |
21 |
1.04 |
25 |
|
双联装40mm“砰砰”炮T2 |
29 |
0.98 |
25 |
|
双联装40mm“砰砰”炮T3 |
45 |
0.88 |
25 |
|
四联40mm博福斯对空机炮T1 |
76 |
1.26 |
28 |
|
四联40mm博福斯对空机炮T2 |
108 |
1.09 |
28 |
|
四联40mm博福斯对空机炮T3 |
120 |
1.04 |
28 |
|
四联装20mm MG机枪T1 |
26 |
0.93 |
18 |
|
四联装20mm MG机枪T2 |
31 |
0.89 |
18 |
|
四联装20mm MG机枪T3 |
46 |
0.79 |
18 |
|
四联装28mm“芝加哥钢琴”T1 |
34 |
1.14 |
21 |
|
四联装28mm“芝加哥钢琴”T2 |
50 |
1.01 |
21 |
|
四联装28mm“芝加哥钢琴”T3 |
72 |
0.87 |
21 |
|
四联装40mm“砰砰”炮T1 |
40 |
1.34 |
25 |
|
四联装40mm“砰砰”炮T2 |
60 |
1.2 |
25 |
|
四联装40mm“砰砰”炮T3 |
84 |
1.04 |
25 |
|
毘式40mm连装机枪T1 |
29 |
1.03 |
24 |
|
毘式40mm连装机枪T2 |
43 |
0.92 |
24 |
|
毘式40mm连装机枪T3 |
65 |
0.79 |
24 |
定义强弱
前面的分析仅仅是对防空炮伤害的分析,而判断防空炮的强弱仅仅靠伤害是不够的,我们也注意到简化的数据表仍然保留着射速这一重要数据。那么如何才能恰当地定义强弱呢?有两种思路:火力、攻击效率。
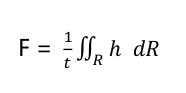
一、火力【4】:单位时间防空炮射程范围内的伤害总和。
用数学语言表示为:
设防空炮射程区域为R,射速为t,伤害为h,则火力F满足如下等式:

设防空炮射程为r (根据表中数据可知 15 ≤ r ≤ 35),由于这里的攻击区域R为半径是r的圆形区域,即

因此

由于π是常系数,只需比较所有防空炮的伤害与射程平方的积比上射速的值即可,不妨设去掉系数的火力为相对火力,计算结果按照升序排列,如下表:
|
名称 |
强满伤害(/轮) |
强满射速(s/轮) |
射程 |
强满相对火力 |
|
12.7mm防空机枪T1 |
9 |
0.39 |
15 |
5192.307692 |
|
12.7mm防空机枪T2 |
11 |
0.37 |
15 |
6689.189189 |
|
20mm厄利空高射炮T1 |
12 |
0.55 |
18 |
7069.090909 |
|
25mm高射机枪T1 |
12 |
0.63 |
20 |
7619.047619 |
|
20mm厄利空高射炮T2 |
14 |
0.53 |
18 |
8558.490566 |
|
37mm手拉机枪T1 |
12 |
0.74 |
23 |
8578.378378 |
|
四联装20mm MG机枪T1 |
26 |
0.93 |
18 |
9058.064516 |
|
25mm高射机枪T2 |
14 |
0.59 |
20 |
9491.525424 |
|
双管20mm厄利空高射炮T1 |
20 |
0.67 |
18 |
9671.641791 |
|
25mm连装高射机枪T1 |
19 |
0.78 |
20 |
9743.589744 |
|
12.7mm防空机枪T3 |
15 |
0.33 |
15 |
10227.27273 |
|
四联装20mm MG机枪T2 |
31 |
0.89 |
18 |
11285.39326 |
|
双联37mm手拉机枪T1 |
22 |
1.03 |
23 |
11299.02913 |
|
25mm三连装高射机枪T1 |
24 |
0.82 |
20 |
11707.31707 |
|
37mm手拉机枪T2 |
16 |
0.7 |
23 |
12091.42857 |
|
双联装40mm“砰砰”炮T1 |
21 |
1.04 |
25 |
12620.19231 |
|
四联装28mm“芝加哥钢琴”T1 |
34 |
1.14 |
21 |
13152.63158 |
|
20mm厄利空高射炮T3 |
20 |
0.47 |
18 |
13787.23404 |
|
25mm高射机枪T3 |
21 |
0.53 |
20 |
15849.0566 |
|
25mm连装高射机枪T2 |
28 |
0.7 |
20 |
16000 |
|
双管20mm厄利空高射炮T2 |
30 |
0.6 |
18 |
16200 |
|
毘式40mm连装机枪T1 |
29 |
1.03 |
24 |
16217.47573 |
|
双联装40mm“砰砰”炮T2 |
29 |
0.98 |
25 |
18494.89796 |
|
76mm高射炮T1 |
24 |
1.16 |
30 |
18620.68966 |
|
76mm高射炮T1(重樱) |
24 |
1.16 |
30 |
18620.68966 |
|
四联装40mm“砰砰”炮T1 |
40 |
1.34 |
25 |
18656.71642 |
|
四联装20mm MG机枪T3 |
46 |
0.79 |
18 |
18865.82278 |
|
双联37mm手拉机枪T2 |
34 |
0.92 |
23 |
19550 |
|
25mm三连装高射机枪T2 |
36 |
0.73 |
20 |
19726.0274 |
|
37mm手拉机枪T3 |
24 |
0.63 |
23 |
20152.38095 |
|
102mm高射炮T1 |
28 |
1.39 |
32 |
20627.33813 |
|
四联装28mm“芝加哥钢琴”T2 |
50 |
1.01 |
21 |
21831.68317 |
|
双联40mm博福斯对空机炮T1 |
29 |
1.04 |
28 |
21861.53846 |
|
25mm连装高射机枪T3 |
40 |
0.61 |
20 |
26229.5082 |
|
毘式40mm连装机枪T2 |
43 |
0.92 |
24 |
26921.73913 |
|
双管20mm厄利空高射炮T3 |
45 |
0.52 |
18 |
28038.46154 |
|
127mm连装高射炮T1 |
47 |
1.97 |
35 |
29225.88832 |
|
四联装40mm“砰砰”炮T2 |
60 |
1.2 |
25 |
31250 |
|
76mm高射炮T2 |
36 |
1.02 |
30 |
31764.70588 |
|
双联装40mm“砰砰”炮T3 |
45 |
0.88 |
25 |
31960.22727 |
|
25mm三连装高射机枪T3 |
54 |
0.64 |
20 |
33750 |
|
102mm高射炮T2 |
42 |
1.24 |
32 |
34683.87097 |
|
八联装40mm“砰砰”炮T1 |
80 |
1.42 |
25 |
35211.26761 |
|
四联装28mm“芝加哥钢琴”T3 |
72 |
0.87 |
21 |
36496.55172 |
|
双联40mm博福斯对空机炮T2 |
45 |
0.92 |
28 |
38347.82609 |
|
双联37mm手拉机枪T3 |
50 |
0.63 |
23 |
41984.12698 |
|
双联105mmSKC高炮T1 |
68 |
1.5 |
32 |
46421.33333 |
|
四联40mm博福斯对空机炮T1 |
76 |
1.26 |
28 |
47288.88889 |
|
毘式40mm连装机枪T3 |
65 |
0.79 |
24 |
47392.40506 |
|
四联装40mm“砰砰”炮T3 |
84 |
1.04 |
25 |
50480.76923 |
|
127mm连装高射炮T2 |
77 |
1.76 |
35 |
53593.75 |
|
76mm高射炮T3 |
54 |
0.88 |
30 |
55227.27273 |
|
双联装113mm高射炮T1 |
75 |
1.66 |
35 |
55346.38554 |
|
八联装40mm“砰砰”炮T2 |
117 |
1.23 |
25 |
59451.21951 |
|
102mm高射炮T3 |
63 |
1.06 |
32 |
60860.37736 |
|
双联40mm博福斯对空机炮T3 |
62 |
0.79 |
28 |
61529.11392 |
|
八联装40mm“砰砰”炮T3 |
128 |
1.17 |
25 |
68376.06838 |
|
四联40mm博福斯对空机炮T2 |
108 |
1.09 |
28 |
77680.73394 |
|
双联105mmSKC高炮T2 |
102 |
1.3 |
32 |
80344.61538 |
|
四联40mm博福斯对空机炮T3 |
120 |
1.04 |
28 |
90461.53846 |
|
127mm连装高射炮T3 |
116 |
1.52 |
35 |
93486.84211 |
|
双联装113mm高射炮T2 |
112 |
1.44 |
35 |
95277.77778 |
|
双联105mmSKC高炮T3 |
122 |
1.24 |
32 |
100748.3871 |
|
双联装113mm高射炮T3 |
130 |
1.36 |
35 |
117095.5882 |
二、攻击效率:敌机经过射程受到的持续伤害总和,算式形式为:
攻击效率 = 伤害 / 射速 x 敌机受到攻击的时间
而由于敌机是沿着直线平行飞行的,我们可以通过沿着敌机的飞行方向后撤达到使敌机尽可能长时间处于射程范围内的效果,因此
敌机受到攻击时间 = 敌机在射程区域内走过的路程 / 敌我速度差
设伤害为h, 射速为t, 射程为r,敌机飞行速度为 ve , 舰娘移速为 v (由于飞机飞行速度大于船速,因此 ve > v),考虑一艘敌机受到攻击的时间最长情形,即为敌机沿着圆形射程区域的直径穿过,则攻击效率η满足以下等式:

即便有多架敌机同时穿过射程区域,比较靠边的敌机距离中轴有d的距离,如下图所示

该敌机穿过的路程为 2(r^2-d^2)^0.5 , 关于r的二次式开方之后增长速度与 r 近似,即(r^2-d^2)^0.5 ~ 0.5 x 2r = r,因此可将所有敌机的的平均路程近似成正比于 r,比例系数为 k > 0,得到修正的攻击效率计算公式:

注意到左边分式中的所有变量是与武器本身无关的,敌机速度为常数,倒船的速度由航速【5】决定,因此整个左边可以看作参数,决定攻击效率取决于伤害与射程积与射速的比值。可称去掉系数的攻击效率为相对攻效,计算所有防空炮的相对功效并按升序排列,如下表:
|
名称 |
强满伤害(/轮) |
强满射速(s/轮) |
射程 |
强满相对攻效 |
|
12.7mm防空机枪T1 |
9 |
0.39 |
15 |
346.1538462 |
|
37mm手拉机枪T1 |
12 |
0.74 |
23 |
372.972973 |
|
25mm高射机枪T1 |
12 |
0.63 |
20 |
380.952381 |
|
20mm厄利空高射炮T1 |
12 |
0.55 |
18 |
392.7272727 |
|
12.7mm防空机枪T2 |
11 |
0.37 |
15 |
445.9459459 |
|
25mm高射机枪T2 |
14 |
0.59 |
20 |
474.5762712 |
|
20mm厄利空高射炮T2 |
14 |
0.53 |
18 |
475.4716981 |
|
25mm连装高射机枪T1 |
19 |
0.78 |
20 |
487.1794872 |
|
双联37mm手拉机枪T1 |
22 |
1.03 |
23 |
491.2621359 |
|
四联装20mm MG机枪T1 |
26 |
0.93 |
18 |
503.2258065 |
|
双联装40mm“砰砰”炮T1 |
21 |
1.04 |
25 |
504.8076923 |
|
37mm手拉机枪T2 |
16 |
0.7 |
23 |
525.7142857 |
|
双管20mm厄利空高射炮T1 |
20 |
0.67 |
18 |
537.3134328 |
|
25mm三连装高射机枪T1 |
24 |
0.82 |
20 |
585.3658537 |
|
76mm高射炮T1 |
24 |
1.16 |
30 |
620.6896552 |
|
76mm高射炮T1(重樱) |
24 |
1.16 |
30 |
620.6896552 |
|
四联装28mm“芝加哥钢琴”T1 |
34 |
1.14 |
21 |
626.3157895 |
|
四联装20mm MG机枪T2 |
31 |
0.89 |
18 |
626.9662921 |
|
102mm高射炮T1 |
28 |
1.39 |
32 |
644.6043165 |
|
毘式40mm连装机枪T1 |
29 |
1.03 |
24 |
675.7281553 |
|
12.7mm防空机枪T3 |
15 |
0.33 |
15 |
681.8181818 |
|
双联装40mm“砰砰”炮T2 |
29 |
0.98 |
25 |
739.7959184 |
|
四联装40mm“砰砰”炮T1 |
40 |
1.34 |
25 |
746.2686567 |
|
20mm厄利空高射炮T3 |
20 |
0.47 |
18 |
765.9574468 |
|
双联40mm博福斯对空机炮T1 |
29 |
1.04 |
28 |
780.7692308 |
|
25mm高射机枪T3 |
21 |
0.53 |
20 |
792.4528302 |
|
25mm连装高射机枪T2 |
28 |
0.7 |
20 |
800 |
|
127mm连装高射炮T1 |
47 |
1.97 |
35 |
835.0253807 |
|
双联37mm手拉机枪T2 |
34 |
0.92 |
23 |
850 |
|
37mm手拉机枪T3 |
24 |
0.63 |
23 |
876.1904762 |
|
双管20mm厄利空高射炮T2 |
30 |
0.6 |
18 |
900 |
|
25mm三连装高射机枪T2 |
36 |
0.73 |
20 |
986.3013699 |
|
四联装28mm“芝加哥钢琴”T2 |
50 |
1.01 |
21 |
1039.60396 |
|
四联装20mm MG机枪T3 |
46 |
0.79 |
18 |
1048.101266 |
|
76mm高射炮T2 |
36 |
1.02 |
30 |
1058.823529 |
|
102mm高射炮T2 |
42 |
1.24 |
32 |
1083.870968 |
|
毘式40mm连装机枪T2 |
43 |
0.92 |
24 |
1121.73913 |
|
四联装40mm“砰砰”炮T2 |
60 |
1.2 |
25 |
1250 |
|
双联装40mm“砰砰”炮T3 |
45 |
0.88 |
25 |
1278.409091 |
|
25mm连装高射机枪T3 |
40 |
0.61 |
20 |
1311.47541 |
|
双联40mm博福斯对空机炮T2 |
45 |
0.92 |
28 |
1369.565217 |
|
八联装40mm“砰砰”炮T1 |
80 |
1.42 |
25 |
1408.450704 |
|
双联105mmSKC高炮T1 |
68 |
1.5 |
32 |
1450.666667 |
|
127mm连装高射炮T2 |
77 |
1.76 |
35 |
1531.25 |
|
双管20mm厄利空高射炮T3 |
45 |
0.52 |
18 |
1557.692308 |
|
双联装113mm高射炮T1 |
75 |
1.66 |
35 |
1581.325301 |
|
25mm三连装高射机枪T3 |
54 |
0.64 |
20 |
1687.5 |
|
四联40mm博福斯对空机炮T1 |
76 |
1.26 |
28 |
1688.888889 |
|
四联装28mm“芝加哥钢琴”T3 |
72 |
0.87 |
21 |
1737.931034 |
|
双联37mm手拉机枪T3 |
50 |
0.63 |
23 |
1825.396825 |
|
76mm高射炮T3 |
54 |
0.88 |
30 |
1840.909091 |
|
102mm高射炮T3 |
63 |
1.06 |
32 |
1901.886792 |
|
毘式40mm连装机枪T3 |
65 |
0.79 |
24 |
1974.683544 |
|
四联装40mm“砰砰”炮T3 |
84 |
1.04 |
25 |
2019.230769 |
|
双联40mm博福斯对空机炮T3 |
62 |
0.79 |
28 |
2197.468354 |
|
八联装40mm“砰砰”炮T2 |
117 |
1.23 |
25 |
2378.04878 |
|
双联105mmSKC高炮T2 |
102 |
1.3 |
32 |
2510.769231 |
|
127mm连装高射炮T3 |
116 |
1.52 |
35 |
2671.052632 |
|
双联装113mm高射炮T2 |
112 |
1.44 |
35 |
2722.222222 |
|
八联装40mm“砰砰”炮T3 |
128 |
1.17 |
25 |
2735.042735 |
|
四联40mm博福斯对空机炮T2 |
108 |
1.09 |
28 |
2774.311927 |
|
双联105mmSKC高炮T3 |
122 |
1.24 |
32 |
3148.387097 |
|
四联40mm博福斯对空机炮T3 |
120 |
1.04 |
28 |
3230.769231 |
|
双联装113mm高射炮T3 |
130 |
1.36 |
35 |
3345.588235 |
总结
以火力界定强弱更偏重于火力面积,方向性要求较弱,更适合给自律情形作参考排名。而以攻效作为标准更依赖主动性,因此更适合给手动情形作参考排名。但无论是哪种情形,金113都是王者,入手的话毫不犹豫去强化就行了。
参考引用
【1】防空炮
【2】各类计算公式 > 防空炮伤害
【3】阵型
【4】防空炮火力体系详解
【5】航速

浙公网安备 33010602011771号