Link-Cut-Tree入门
Link Cut Tree的主要作用是维护一个动态森林中点与点间的路径动态信息。
相比于树链剖分,Link Cut Tree能支持动态删连边,这是因为树剖用线段树来维护区间,而LCT用Splay的旋转与区间翻转的特性来维护点与点间的相对关系。
那么首先,我们需要像树剖那样,把一棵树分成若干条树链(专业术语叫“实链剖分”),以保证每一次操作的均摊复杂度为O(log n)。
剖分要满足: 一条链中不能出现两个深度相同的点,可以理解为一条链是从一个点出发向整棵树的根走若干步的路径。
注意:一个点也可以被认为是一条链。
也就是说,对于一棵树,把每一个点都认为是一条链是合法的,也是最简单的。所以对于一颗还没有进行任何操作的树,我们不妨将每个点划分成单独的链。
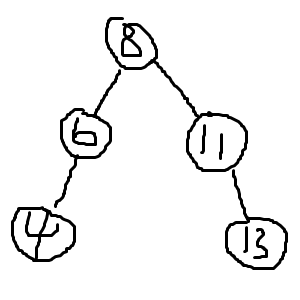
下面来一个具体的例子:
这里不妨假设这棵树之前进行了若干操作以至于有了这样的剖分

首先来考虑存一棵树的方法:对于一条链上的,把所有节点存到一个Splay当中。
比如这个例子,其中的一个Splay就长这样:

需要注意的是,这里平衡的关键字是点的深度,也就是说在左子树的都是实际树中该点的祖先,右子树的都是该点的儿子。
然后发现:在实际树中除了根节点所在的链之外,每条链的顶端都连着一个不属于自己这条链的点(也就是说一个Splay会“指向”一个点)。
那就简单了,存图的时候直接让Splay根节点的父亲指向那个点不就可以了~
下图中红线代表父亲,蓝线代表在Splay中的左右儿子:

总结:
- 一个节点所连的子节点只是该点所在Splay中的左右儿子
- 一个节点所连的父亲有两种情况:若该点是所在Splay的根,那么指向的是原树中该链的顶端节点的父亲;若该点不是所在Splay的根,那么指向的就是它在Splay中的父亲
LCT的一个基本操作是access(x),作用是让且仅让x到实际树根的路径上所有点在一个Splay上
就比如遇到了某个点(作为自己所在Splay的根)和父亲(也作为自己所在Splay的根)不在一个Splay上,然后要access。注意是“让且仅让”,所以必须断开父节点之前连向儿子的重边。仔细想一想,父亲在Splay中的所有右节点不都是的嘛!所以直接断开与右儿子的父子关系即可(子父关系不能断)。这是删除之前的,那么连上现在的,就是把自己直接作为父亲的右节点(刚刚空出来的)。代码就一行:
void access(int x){for(int y=0;x;y=x,x=fa[x])splay(x),son[x][1]=y,pushup(x);}
好吧还是解释一下(。・ω・。):
void access(int x){
for(int y=0;x;y=x,x=fa[x]){//y是暂时存上一次处理的Splay的根,方便直接作为父亲的右节点
splay(x);//先得把x旋到自己所在Splay的根,好与所有原来的重边断开父子关系
son[x][1]=y;//再让y成为右儿子
update(x);//在本题中要维护的是异或,所以update就是
//v[x]=v[son[x][0]]^v[son[x][1]]^val[x];
//这样x所在的整个链都异或进v[x]了(x是根节点)
}
}
下一个操作makeroot(x),作用是让x成为整棵树的根(也就是空出其父节点),这样做的意义会在之后的Link和Cut中体现。也只有一行:
void makeroot(int x){access(x);splay(x);rev[x]^=1;}
这个时候只access(x)和splay(x)没有意义,因为一个Splay真正连向另一个点的不是这个Splay的根,而是这个Splay中深度(关键字)最小的点,也就是从根一直往左走到头。
要想真正让x成为根还需要加个翻转左右子树的操作(别忘了在splay的时候加pushdown!),于是x没有了左儿子,成为了真正的根。
接下来终于到了关键操作Link和Cut:
inline void link(int x,int y){makeroot(x);fa[x]=y;}
刚才讲到,makeroot(x)的作用在于让x没有父节点,这样就可以添加新的父节点,也就是要合并的y。
void cut(int x,int y){
makeroot(x);
access(y);
splay(y);
//上面三句话作用是让x,y在一个Splay里,并且x是y往左走到头的点
//可以把上面三句话封装成一个split(x,y)
if(son[y][0]==x&&son[x][1]==0){//如果x与y相连
son[y][0]=0;fa[x]=0;//断开x与y的关系
}
}
来一个find,用来找一个点所在树的根,这样就好判断两个点是否在一棵树里
int find(int x){
access(x);//先让x与树根联系起来
splay(x);//让x成为Splay的根
while(son[x][0])x=son[x][0];//一直往左走,找到深度最小的点
return x;
}
好了,LCT的大致思想已经写的很详细了,来个板子。
#include<bits/stdc++.h>
#define ri register int
using namespace std;
inline int read(){
ri f=1,x=0;register char ch=getchar();
while(ch<'0'||ch>'9'){if(ch=='-')f=-1;ch=getchar();}
while(ch>='0'&&ch<='9'){x=(x<<3)+(x<<1)+ch-'0';ch=getchar();}
return f*x;
}
const int maxn=300010;
int n,m,val[maxn],top,son[maxn][2],fa[maxn],v[maxn],q[maxn],rev[maxn];
inline void update(int x){v[x]=v[son[x][0]]^v[son[x][1]]^val[x];}
inline void pushdown(int x){rev[son[x][0]]^=1;rev[son[x][1]]^=1;rev[x]^=1;swap(son[x][0],son[x][1]);}
inline bool isroot(int x){return son[fa[x]][0]!=x&&son[fa[x]][1]!=x;}
inline void rotate(int x){
ri y=fa[x],z=fa[y],d=son[y][1]==x;
if(!isroot(y))son[z][son[z][1]==y]=x;fa[x]=z;
fa[son[y][d]=son[x][d^1]]=y;
fa[son[x][d^1]=y]=x;
update(y);update(x);
}
inline void splay(int x){
top=1;q[top]=x;
for(ri i=x;!isroot(i);i=fa[i])q[++top]=fa[i];
for(ri i=top;i;i--)if(rev[q[i]])pushdown(q[i]);
for(ri y=fa[x];!isroot(x);rotate(x),y=fa[x])
if(!isroot(y))rotate((son[y][0]==x)^(son[fa[y]][0]==y)?x:y);
}
inline void access(int x){for(ri y=0;x;y=x,x=fa[x])splay(x),son[x][1]=y,update(x);}
inline void makeroot(int x){access(x);splay(x);rev[x]^=1;}
inline int find(int x){access(x);splay(x);while(son[x][0])x=son[x][0];return x;}
inline void split(int x,int y){makeroot(x);access(y);splay(y);}
inline void cut(int x,int y){split(x,y);if(son[y][0]==x&&son[x][1]==0)son[y][0]=0,fa[x]=0;}
inline void link(int x,int y){makeroot(x);fa[x]=y;}
int main(){
n=read();m=read();for(ri i=1;i<=n;i++)v[i]=val[i]=read();
while(m--){
ri opt=read(),x=read(),y=read();
if(opt==0){split(x,y);printf("%d\n",v[y]);}
if(opt==1){if(find(x)!=find(y))link(x,y);}
if(opt==2){if(find(x)==find(y))cut(x,y);}
if(opt==3){access(x);splay(x);val[x]=y;update(x);}
}
return 0;
}

浙公网安备 33010602011771号