无权无向图的遍历
无向图的理解与遍历
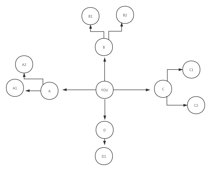
此图应为无向图


from collections import deque  # 创建一个双向队列
# 创建一个无向图
graph = {}
graph["you"] = ["A", "B", "C", "D"]
graph["A"] = ["A1", "A2"]
graph["B"] = ["B1", "B2"]
graph["C"] = ["C1"]
graph["D"] = ["D1"]
graph["A1"] = []
graph["B1"] = []
graph["A2"] = []
graph["B2"] = []
graph["C1"] = []
graph["D1"] = []
search_queue = deque()  # 创建一个队列
search_queue += graph["you"]
def person_is_seller(name):  # 判断该对象是否是目标查找对象
    return name == 'D1'
while search_queue:           # 循环迭代此队列 
    person = search_queue.popleft()
    print(person)             # 打印便利对象
    if person_is_seller(person):
        print(person + "is a Cool")
        break
    else:
        search_queue += graph[person]
``
 
                    
                
 
                
            
         浙公网安备 33010602011771号
浙公网安备 33010602011771号