卡特兰数
卡特兰数:
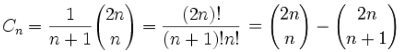
通项:
递推式:
代码:
void Catalan(){
f[0] = f[1] = 1;
for(int i=2;i<N;i++){
f[i] = 0;
for(int j=0;j<=i;j++)
f[i] += f[j] * f[i-j-1];
}
}
模型求解:
- 出栈次序
-
设x为当前出栈序列的最后一个,则x有n种取值。
-
由于x是最后一个出栈的,所以可以将已经出栈的数分成两部分:比x小,比x大。
-
比x小的数有
个,所以这些数的全部出栈可能为
-
比x大的数有
个,所以这些数的全部出栈可能为
-
这两部分互相影响,所以一个x的取值能够得到的所有可能性为
-
-
- 合法的括号序列
- 左右括号分别对应入栈和出栈
- 不经过对角线的非降路径数
- 右上分别代表出栈和入栈
- 二叉树个数
- 确定根结点,左右个数划分
- 确定根结点,左右个数划分
- 凸多边形三角划分
- 以
边为基准,随机找一点
,构成三角形
。则k把三角形分成
和
- 以
- 找零问题。有2n个人排成一行进入剧场。入场费 5 元。其中只有n个人有一张 5 元钞票,另外n人只有 10 元钞票,剧院无其它钞票,问有多少中方法使得只要有 10 元的人买票,售票处就有 5 元的钞票找零?
- 设5为入栈,10为出栈
- 圆上不相交。在圆上有2n个点,将这些点成对连接起来使得所得到的n条线段不相交的方法数?
- 设基准点为A为0,则与A相连的点k必定为奇数编号点(否则无法一边会产生孤立点)。
- 点k分n为两部分
和
。结合递归式,不难发现

浙公网安备 33010602011771号