旅行商TSP问题

旅行商问题(TSP问题):每个点经过有且仅有一次的最短回路

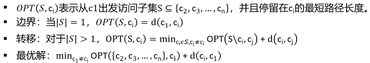
解法:动态规划

HDU5067:经典TSP问题

#include <bits/stdc++.h>
using namespace std;
int const inf = 0x3f3f3f3f;
typedef pair<int,int>pii;
int const N = 12;
int n,m,mp[N][N],dp[1<<N][N],cnt;
pii a[N];
int TSP(){
    /*从0开始遍历所有的点有且仅有一次返回0的最短距离*/
    memset(dp,inf,sizeof(dp));
    for(int i=0;i<(1<<cnt);i++){    //遍历所有的状态
        if(!(i & 1))    continue;
        for(int j=1;j<cnt;j++){ //经过j点(不能是0号点)
            if(!((1<<j) & i))   continue;
            if((i ^ (1<<j)) == 1) dp[i][j] = mp[0][j];    //临界条件,如果只有两个点
            else{
                for(int k=1;k<cnt;k++){ //下一个选择的点为k
                    if(j == k || !((1<<k) & i)) continue;
                    dp[i][k] = min(dp[i][k],dp[i^(1<<k)][j] + mp[j][k]);
                }
            }
        }
    }
    int ans = inf;
    for(int i=1;i<cnt;i++)  
        ans = min(ans,dp[(1<<cnt)-1][i] + mp[i][0]);
    return ans;
}
int main(){
    while(~scanf("%d%d",&n,&m)){
        cnt = 0;
        a[cnt++] = pii(1,1);
        for(int i=1;i<=n;i++){
            for(int j=1;j<=m;j++){
                int x;
                scanf("%d",&x);
                if(i == 1 && j == 1)    continue;
                if(x)   a[cnt++] = pii(i,j);
            }
        }
        memset(mp,0,sizeof(mp));
        for(int i=0;i<cnt;i++){
            for(int j=0;j<cnt;j++){
                mp[i][j] = abs(a[i].first - a[j].first) + abs(a[i].second - a[j].second);
            }
        }
        printf("%d\n",TSP());
    }
    return 0;
}

POJ3311:变形TSP,可以重复经过点(实际上还是按照TSP的思路)

#include <iostream>
#include <cstdio>
#include <algorithm>
#include <cstring>
#include <cmath>
#include <vector>
using namespace std;
int const N = 10 + 5;
int const inf = 0x7f7f7f7f;
int n,ans;
int mp[N][N];
int dp[1<<N][N];  //dp[i][j]表示i状态经过j的最短时间
int TSP(int n){
    memset(dp,inf,sizeof(dp));
    for(int i=0;i<(1<<n);i++){
        if(!(i & 1))    continue;
        for(int j=1;j<n;j++){
            if(!((1<<j) & i))   continue;
            if((i ^ (1<<j)) == 1)   dp[i][j] = mp[0][j];
            else{
                for(int k=1;k<n;k++){
                    if(j == k || !((1<<k) & i)) continue;
                    dp[i][k] = min(dp[i][k],dp[i^(1<<k)][j] + mp[j][k]);
                }
            }
        }
    }
    int ans = inf;
    for(int i=1;i<n;i++)
        ans = min(ans,dp[(1<<n)-1][i] + mp[i][0]);
    return ans;
}
int main(){
    while(~scanf("%d",&n) && n){
        memset(dp,0,sizeof(dp));
        for(int i=0;i<=n;i++)
            for(int j=0;j<=n;j++)
                scanf("%d",&mp[i][j]);
        for(int k=0;k<=n;k++)
            for(int i=0;i<=n;i++)
                for(int j=0;j<=n;j++)
                    if(mp[i][k] < inf && mp[k][j] < inf && mp[i][j] > mp[i][k] + mp[k][j])
                        mp[i][j] = mp[i][k] + mp[k][j];
        printf("%d\n",TSP(n+1));
    }
    return 0;
}

 

posted @ 2020-05-18 10:10  月光下の魔术师  阅读(40)  评论(0)    收藏  举报