二叉树的遍历,递归与迭代的解法
前言
树结构是一种非线性的数据结构,而二叉树是树结构中常见的一种树,这章我们考虑如何对二叉树进行元素的遍历,在这里我们会分别考虑递归和迭代两种不同的解法。
目录
所谓二叉树以及其遍历
二叉树
相对于队列,栈这种抽象的线性数据结构来说,树是一种非线性的数据结构,而二叉树是树的一种经典的,常见的种类。对二叉树的遍历是一个很基础也很重要的问题,遍历指的是依据一定的顺序对树的元素进行访问,最后需要访问到整个树的所有元素。一般来说,对树的遍历可以有递归和迭代两种不同的实现,通常来说递归的解法直接明了,但是在树的深度很大的时候,容易导致stack overflow;而迭代方法通常更快,更节省内存,但是通常理解起来没有递归方法简单。
要描述一棵树,首先其单元结构可以用一个结构体描述,如:
struct TreeNode {
int val;
TreeNode *left;
TreeNode *right;
TreeNode(int x) : val(x), left(NULL), right(NULL) {}
;
其中,一棵树的叶子节点指的是其左右节点皆为空
node->left == NULL && node->right == NULL ;
遍历的策略
对于每个非叶子节点而言,其都有根节点D, 左节点L和右节点R,如果遍历的时候只考虑从左到右的这种方向,我们可以有三种排列
- DLR,前序遍历
- LDR,中序遍历
- LRD,后序遍历
我们发现,我们是根据访问D的位置来确定其命名的,这里举几个例子。加入树长成这个样子

那么其前序遍历结果为: 3 -> 9 -> 20 -> 15 -> 7
中序遍历结果为: 9 -> 3 -> 15 -> 20 -> 7
后序遍历结果为: 9 -> 15 -> 7 -> 20 -> 3
那么针对这三种遍历策略,我们后续进行代码编写分析和实验。

代码平台
本文中代码可在LeetCode中进行运行,大家可以随意选择一个与树相关的题目进行测试代码(LeetCode内部提供了Tree数据结构的支持),比如说笔者是在https://leetcode-cn.com/problems/binary-tree-preorder-traversal/中进行的,我们只需要指定了树的结构(可以通过在控制台指定其树的每个元素,如下图所示),显然只要我们有了目标树的输入,我们便可以开始我们的实验了。
递归方案
对于树的遍历来说,递归方案是很容易理解的,这种方法也是必须要掌握的。
class Solution {
public:
vector<int> preorderTraversal(TreeNode* root) {
if (!root) return {};
if (!root->left && !root->right) return {root->val};
vector<int> vec;
vec.push_back(root->val);
auto ret = preorderTraversal(root->left);
vec.insert(vec.end(), ret.begin(), ret.end());
auto ret = preorderTraversal(root->right);
vec.insert(vec.end(), ret.begin(), ret.end());
return vec;
}
};
其实还有一种方式,更为简洁:
class Solution {
public:
void preorderTraversal(TreeNode* root, vector<int> &vec) {
if (!root) return ;
vec.push_back(root->val);
preorderTraversal(root->left);
preorderTraversal(root->right);
}
};
我们会发现,决定其顺序的,是ret.push_back(root->val)这句代码的顺序而已。
迭代方案
比起递归的方案,迭代的方案去遍历树比较难,在LeetCode中属于中等难度的题目[1,2,3],不过对其进行理解有助于我们更好的理解树的遍历,因此我们还是要求掌握。
对于迭代方案来说,就不再和递归一样具有一个统一的范式进行求解了。
前序遍历
我们可以用一个LIFO(Last In First Out)的stack进行这个遍历过程的管理,我们采用了c++中的stack数据结构,这个结构是一个操作受限的stack,只能有以下操作
- push, 在stack尾部推入新的元素
- pop, 弹出尾部元素,不返回值
- empty, 判断stack是否为空
- size,stack的大小
- top,读取尾部元素,但是不弹出
利用stack,我们在获取了一个节点之后,对其右节点和左节点进行入栈,当然前提是其节点存在,为什么要反过来入栈呢?因为出栈的顺序是和入栈顺序相反的,因此出栈的时候顺序就是正常的L->R了,对于每个节点都这样去考虑其左右节点,我们就得到了整个先序遍历列表。代码如下。
vector<int> preorderTraversal(TreeNode* root) {
if (!root) return vector<int>();
stack<TreeNode*> stack;
vector<int> ret;
stack.push(root);
while (!stack.empty()) {
auto curr = stack.top();
stack.pop();
ret.push_back(curr->val);
if (curr->right)
stack.push(curr->right);
if (curr->left)
stack.push(curr->left);
}
return ret;
}
中序遍历
我们在中序遍历中,有:
对于某个节点A而言,在访问A之前,肯定会先访问A的左子树的所有元素
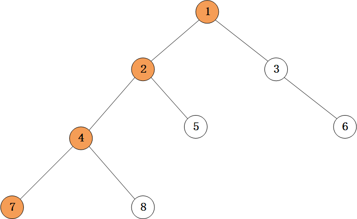
中序遍历同样采用了栈stack作为储存节点的数据结构,但是因为中序遍历LDR需要首先访问左节点,因此一开始需要将根节点的所有左节点先进行入栈,如#8-#11所示。然后,在#12-#21对栈中的元素进行出栈。一开始在没有其他元素入栈的时候显然是叶子节点的左节点7首先出栈,然后因为是叶子节点,因此没有任何的其他后继节点了,继续循环。
在下个循环中,出栈的是倒数4,这个时候,节点4的左子树和自己以及被访问了,需要考虑其右子树了,那么将node = node->right 考虑其右子树,因为在右子树中,我们同样要根据中序遍历的要求,首先访问右子树节点的左子树节点,所以这个时候,代码#16-#19就在对其左子树进行入栈,和#8-#11相似。

class Solution {
public:
vector<int> inorderTraversal(TreeNode* root) {
if (!root) return vector<int>();
stack<TreeNode*> stack;
vector<int> ret;
while (root) {
stack.push(root);
root = root->left;
} // 将根节点的所有左子树迭代入栈
while (!stack.empty()) {
auto node = stack.top();
stack.pop();
ret.push_back(node->val);
node = node->right; // 切换到右子树
while (node) {
stack.push(node);
node = node->left;
}
}
return ret;
}
};
中序遍历比起前序遍历来说,难上了些。总得来说,基于迭代的中序遍历可以用模版如下来解决:
class Solution {
public:
vector<int> inorder(TreeNode* root) {
if (!root) return vector<int>(); // 边界条件注意
stack<TreeNode *> s; // 一个栈来保存节点的遍历
vector<int> ret;
while (!s.empty() || root != NULL) {
while (root) {
s.push(root);
root = root->left;
}
root = s.top();
cont.pop(); // 弹出左子树
// 这里插入对左节点L应该进行的处理,比如读取,修改等。如遍历,则是
ret.push_back(root->val);
root = root->right; //将节点更新为右子树
}
return ret;
}
};
后序遍历
leetcode官方对这个问题的解决是: 后序遍历 = 宽度优先搜索+逆序输出,代码为:
class Solution {
public:
vector<int> postorderTraversal(TreeNode* root) {
if (!root) return vector<int>();
stack<TreeNode*> stack;
vector<int> ret;
stack.push(root);
while (!stack.empty()) {
auto node = stack.top();
stack.pop();
ret.push_back(node->val);
if (node->left)
stack.push(node->left);
if (node->right)
stack.push(node->right);
}
std::reverse(ret.begin(), ret.end());
return ret;
}
};
其实是逆前序遍历啦。
Reference
[1]. https://leetcode-cn.com/problems/binary-tree-preorder-traversal/
[2]. https://leetcode-cn.com/problems/binary-tree-inorder-traversal/
[3]. https://leetcode-cn.com/problems/binary-tree-postorder-traversal/

浙公网安备 33010602011771号