经典LSTM和LSTMP
传统的LSTM
在原来学习的LSTM中,通常都是使用的一个比较简单版本的LSTM,参考理解LSTM
然而在最近的学习中,阅读论文发现一种经典LSTM,而之前介绍学习的LSTM通常都是简单LSTM,因此写篇随笔总结一下,几种LSTM的变体。
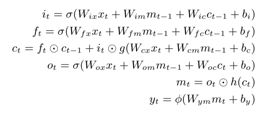
经典LSTM

where the W terms denote weight matrices (e.g. Wix is the matrix of weights from the input gate to the input), Wic, Wf c, Woc are diagonal weight matrices for peephole connections, the b terms denote bias vectors (bi is the input gate bias vector), σ is the logistic sigmoid function, and i, f, o and c are respectively the input gate, forget gate, output gate and cell activation vectors, all of which are the same size as the cell output activation vector m,
is the element-wise product of the vectors, g and h are the cell input and cell output activation functions, generally and in this paper tanh, and φ is the network output activation function, softmax in this paper
——Long Short-Term Memory Recurrent Neural Network Architectures For Large Scale Acoustic Modeling
相比简单LSTM结构,这个经典LSTM在计算中多出了Wic,Wfc, Wcm的计算,引入了一种叫做peephole connections的结构。我们通过图示来对两种结构进行比较,可以看到他们的不同


可以看到两者相比,后者比前者多了几条红色数据流,Ct-1加入到遗忘门,输入门和输出门的计算之中,这种LSTM变种的调控方式就叫做peephole connection,将上一次的ht-1,ct-1,和本次的xt都考虑进去,来产生门的输出。
LSTMP与Projection layer
Projection lay而有什么好处呢?Projection layer可以减少计算量,它的作用和全连接layer很像,就是对输出向量做一下压缩,从而能把高纬度的信息降维,减小cell unit的维度,从而减小相关参数矩阵的参数数目!
传统的LSTM

最后的yt是输出,式中的mt-1就是前面图片中的ht-1表达的是同一个参数,只是写法不同。
如果不计算其中的bias,那么传统LSTM中需要计算的参数就为:
W = nc*nc*4 + nc* ni * 4 + nc* no+ nc* 3
其中,nc表示隐藏层cell units的大小,即隐藏层的维度,ni表示输入数据的维度,no表示最终输出的向量维度。
nc * nc * 4表示的是Wim,Wfm,Wom,Wcm中参数数目
nc* ni * 4 表示的是Wix,Wfx,Wox,Wcx中参数数目
nc* no 表示的是Wym中参数数目
nc* 3 表示的是Wic,Wfc,Woc中参数数目,这三个参数为对角矩阵
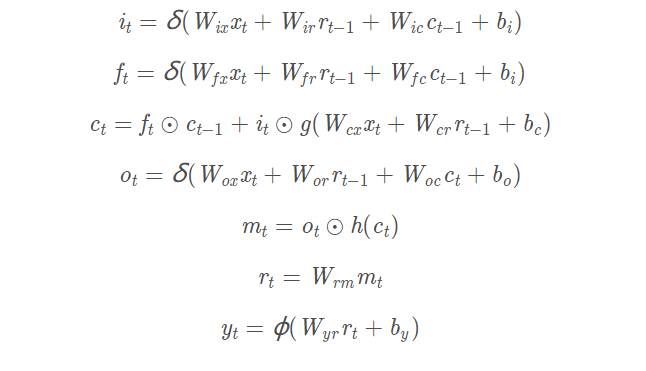
LSTMP
加入Projection layer之后,LSTMP的计算如下:

此时的参数个数就发生了变化:
W = nc*nr*4 + nc* ni * 4 + nc* nr+ no * nr + nc* 3
其中,
nc * nr * 4表示的是Wir,Wfr,Wor,Wcr中参数数目
nc* ni * 4 表示的是Wix,Wfx,Wox,Wcx中参数数目
nc* nr * 4 表示的是Wrm中参数数目
nr* no 表示的是Wym中参数数目
nc* 3 表示的是Wic,Wfc,Woc中参数数目,这三个参数为对角矩阵
两者的对比计算可以举个例子将其带入,很容易的就发现参数数目有了显著的减少。

浙公网安备 33010602011771号