<四>高等数学:向量及线性运算、数量积、向量积
1.向量
1.1 向量的概念
在物理概念中,把即有“大小”又有“方向”的量称为“矢量”。

在数学概念中,把从“起点”指向“终点”的即有“大小”又有“方向”的量叫做“向量”。

在向量的概念中,"大小"和“方向”缺一不可。
如果两个向量“相等”,那表示两个向量的“大小”和“方向”都相同。
1.2 向量的平移
向量只关心“大小”和“方向”,不关心“起点”和“终点”。向量经过任意平移后的向量还是原来的向量。
1.3 向量的模长
向量的“大小”又叫向量的“模长”,向量的模长是一个标量。
1.4 单位向量
模长为1的向量,又称为“单位向量”。
1.5 零向量
模长为0的向量,又称为“0向量”。
0向量和任意向量平行。
1.6 两向量的夹角

向量的夹角取值范围是0~180
2.向量的运算
2.1 数乘

向量的模长乘以系数,如果系数大于0,方向不变;如果系数小于0,方向取反。
2.2 加法
向量的加法遵循“平行四边形法则”和“三角形法则”。
2.3 减法
向量的减法相当于把其变换为向量的加法。
3.向量代数
以上向量的概述也是向量的基础,都是基于二维(平面)的示例。向量代数基于3D(空间)表示。
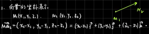
3.1 向量的坐标表示

其中i向量、j向量、k向量分别表示x轴、y轴、z轴正方向的单位向量。
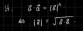
3.2 向量的模

3.3 向量的方向
向量的方向是由向量的方向角决定的,通常用到的是向量的方向余旋。

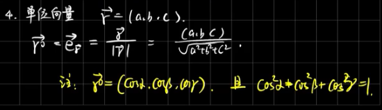
3.4 单位向量

3.5 向量的投影

通常在计算向量投影时不是通过“模”x“余旋”来计算的,而是通过向量乘以所投影的向量的单位向量的数量积来计算(向量投影的计算公式)。
3.6 向量的夹角计算

3.7 两个向量垂直 && 平行的判定

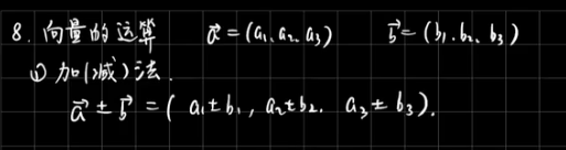
3.8 向量的运算
加(减)法:

数乘:

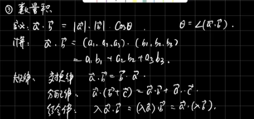
数量积:

向量的夹角、投影、垂直的判定都是通过数量积的公式推导出来的。

向量积:


4.解析几何
4.1 平面及其方程




4.2 空间直线



4.3 位置关系




待补充。。。。。。
浙公网安备 33010602011771号