[Leetcode]43.删除二叉搜索树中的节点
给定一个二叉搜索树的根节点 root 和一个值 key,删除二叉搜索树中的 key 对应的节点,并保证二叉搜索树的性质不变。返回二叉搜索树(有可能被更新)的根节点的引用。
一般来说,删除节点可分为两个步骤:
首先找到需要删除的节点;
如果找到了,删除它。
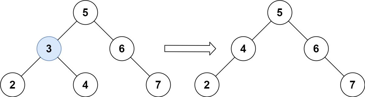
示例 1:
输入:root = [5,3,6,2,4,null,7], key = 3
输出:[5,4,6,2,null,null,7]
解释:给定需要删除的节点值是 3,所以我们首先找到 3 这个节点,然后删除它。
一个正确的答案是 [5,4,6,2,null,null,7], 如下图所示。
另一个正确答案是 [5,2,6,null,4,null,7]。
示例 2:
输入: root = [5,3,6,2,4,null,7], key = 0
输出: [5,3,6,2,4,null,7]
解释: 二叉树不包含值为 0 的节点
示例 3:
输入: root = [], key = 0
输出: []
思想:递归遍历结点,返回调整好的结点。区分四种情况,包括
1.空节点 返回空
2.当前节点值比目标值大 将当前节点的左子树修改为递归调用的返回值
3.当前节点值比目标值小 将当前节点的右子树修改为递归调用的返回值
4.当前结点为目标值的结点
1)如果当前结点没有左右孩子 直接返回空节点给父节点更新
2)如果当前结点只有左孩子,将当前节点修改为它的左孩子 返回给父节点更新
3)如果当前结点只有右孩子,将当前节点修改为它的右孩子 返回给父节点更新
4)如果当前结点有左右孩子,那么将左孩子的值放在右孩子的左子树的最左处,将当前结点修改为它的右孩子 返回给父节点更新
/**
* Definition for a binary tree node.
* type TreeNode struct {
* Val int
* Left *TreeNode
* Right *TreeNode
* }
*/
func deleteNode(root *TreeNode, key int) *TreeNode {
if root == nil {
return nil
}
if root.Val == key{
if root.Right == nil && root.Left == nil {
return nil
}
if root.Right != nil && root.Left == nil {
root = root.Right
return root
}
if root.Right == nil && root.Left != nil {
root = root.Left
return root
}
Left :=root.Left
Right := root.Right
temp := root.Right
for temp.Left != nil {
temp = temp.Left
}
temp.Left = Left
root = Right
return root
}
if root.Val > key {
root.Left = deleteNode(root.Left, key)
}
if root.Val < key {
root.Right = deleteNode(root.Right, key)
}
return root
}
来源:力扣(LeetCode)
链接:https://leetcode-cn.com/problems/delete-node-in-a-bst
著作权归领扣网络所有。商业转载请联系官方授权,非商业转载请注明出处。

浙公网安备 33010602011771号