[Leetcode]37.二叉树的所有路径
给你一个二叉树的根节点 root ,按 任意顺序 ,返回所有从根节点到叶子节点的路径。
叶子节点 是指没有子节点的节点。
示例 1:

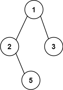
输入:root = [1,2,3,null,5]
输出:["1->2->5","1->3"]
示例 2:
输入:root = [1]
输出:["1"]
思想:深度优先搜索,维护一个path字符串,初始为空,每找到一个点进入下一次递归前,把path加上一个当前结点的值和“->”,当找到根节点的时候,将path加上根节点赋给目标结点。
func binaryTreePaths(root *TreeNode) []string {
var res []string
if root ==nil{
return res
}
var dfs func(root *TreeNode,path string)
dfs = func(root *TreeNode,path string) {
if root==nil {
return
}
if root.Left==nil&&root.Right==nil{
res = append(res,path + strconv.Itoa(root.Val))
return
}
dfs(root.Left,path+strconv.Itoa(root.Val)+"->")
dfs(root.Right,path+strconv.Itoa(root.Val)+"->")
return
}
dfs(root,"")
return res
}
题目来源:https://leetcode-cn.com/problems/binary-tree-paths

浙公网安备 33010602011771号