[Leetcode]33.完全二叉树的节点个数(使用二分+位运算解决)
题目:给你一棵 完全二叉树 的根节点 root ,求出该树的节点个数。
完全二叉树 的定义如下:在完全二叉树中,除了最底层节点可能没填满外,其余每层节点数都达到最大值,并且最下面一层的节点都集中在该层最左边的若干位置。若最底层为第 h 层,则该层包含 1~ 2h 个节点。
示例 1:
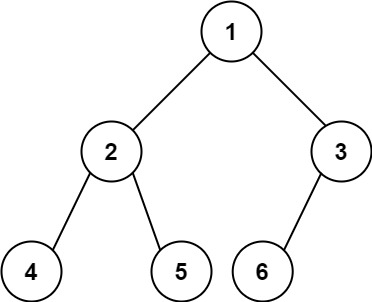
输入:root = [1,2,3,4,5,6]
输出:6
示例 2:
输入:root = []
输出:0
示例 3:
输入:root = [1]
输出:1
提示:
树中节点的数目范围是[0, 5 * 104]
0 <= Node.val <= 5 * 104
题目数据保证输入的树是 完全二叉树
思想:不对二叉树进行全部遍历,要充分利用完全二叉树的特性,实际上就是对最后一层的叶子结点判定个数,我们可以对二叉树的所有结点进行二分查找来实现。
首先引入位运算的概念,我们将最后一层的叶子结点按照完全二叉树的顺序进行编号,令根节点为第0层开始,设二叉树层数level=h,那么最后一层的叶子结点编号范围为[2h~2h+1-1]。
比如示例1中的图,最底层从4开始到6二进制表示分别为 100 101 110,从根节点到最底层(第三层),我们需要提取他们的后两位来表示路径,0表示向左,1表示向右,如4可以表示为0和0,从根节点出发,向左,再向左。那么我们设定一个参数来逐个提取这个路径信息——bits,bits初始大小设置为2h-1大小,如示例1中bits设为2即010,每次提取路径后,bits都向右一位处理以便提取下一个路径。
我们使用go中sort库的search函数实现自带的二分查找。先遍历出二叉树的层数,初始总的值假定他为一个满二叉树,即2h+1个节点,示例1中level = 2 ,初始假设节点为个,取中值为4,判断4这个点是否在最后一层,和2h判断,发现相等,继续比较,bits=2,4和bits按位与后得到0,则表示向左,node = node.Left,bits整体右移1位提取下一位路径,4再与1按位与得到0,即再向左node = node.Left。此时bits再向右一位为0,判断结束,node指向的存在的结点。则修改二分查找中的起始位置为中点,查找6~8这个范围。继续循环,直到找到一个编号的结点是空结点,返回这个空编号前一个编号即可。
func countNodes(root *TreeNode) int {
if root ==nil{
return 0
}
level :=0
for node:=root;node!=nil;node = node.Left{
level++
}
return sort.Search(1<<(level+1),func(k int)bool{
//如果k不在最后一层 返回false
if k <=1<<level{
return false
}
//bits 的值取比最高层表示的数低一位的数 比如最高层第一个数是100 bits应该取010 从第二位开始读
bits:= 1<<(level-1)
node:=root
for node!=nil&&bits>0{
if bits&k>0{
node = node.Left
}else{
node = node.Right
}
bits >>=1
}
return node == nil
})-1
}
题目来源:https://leetcode-cn.com/problems/count-complete-tree-nodes

浙公网安备 33010602011771号