[Leetcode]30.求根节点到叶节点数字之和
题目:给你一个二叉树的根节点 root ,树中每个节点都存放有一个 0 到 9 之间的数字。
每条从根节点到叶节点的路径都代表一个数字:
例如,从根节点到叶节点的路径 1 -> 2 -> 3 表示数字 123 。
计算从根节点到叶节点生成的 所有数字之和 。
叶节点 是指没有子节点的节点。
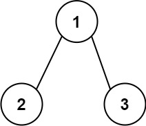
示例 1:
输入:root = [1,2,3]
输出:25
解释:
从根到叶子节点路径 1->2 代表数字 12
从根到叶子节点路径 1->3 代表数字 13
因此,数字总和 = 12 + 13 = 25
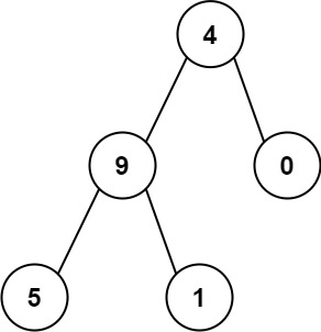
示例 2:
输入:root = [4,9,0,5,1]
输出:1026
解释:
从根到叶子节点路径 4->9->5 代表数字 495
从根到叶子节点路径 4->9->1 代表数字 491
从根到叶子节点路径 4->0 代表数字 40
因此,数字总和 = 495 + 491 + 40 = 1026
思想:DFS,使用数组保存遍历到的路径的数,遍历到叶子的时候,就将路径转换为数,将这个数加到结果中。
func sumNumbers(root *TreeNode) int {
if root == nil {
return 0
}
var p []int
var dfs func(root *TreeNode, path []int)
var rt int
dfs = func(root *TreeNode, path []int) {
path = append(path, root.Val)
if root.Left == nil && root.Right == nil {
var r int
i := len(path) - 1
for _, v := range path {
v = v * int(math.Pow10(i))
i--
r += v
}
rt+=r
}
if root.Left != nil {
dfs(root.Left, path)
}
if root.Right != nil {
dfs(root.Right, path)
}
}
dfs(root, p)
return rt
}
题目来源:https://leetcode-cn.com/problems/sum-root-to-leaf-numbers

浙公网安备 33010602011771号