2025.5.18 KH 谈笑间指银鞭 sol
1. P4429
显然,每个联通块独立,那么我们考虑一个联通块的情况。
二分图
首先,图一定是二分图。
如果不是二分图,那么我们给所有点都给予同一个集合,这样它就无法染色,就寄了。
偶环
我们考虑一个四元环,如果按下面的方式分配集合:

那么无论怎么染色,点 \(1\) 和点 \(2\) 的颜色都是确定的。
这个构造可以推广到更大的环上。也就是说,对于一个偶环,如果我们选取任意两个相邻点,给它们分别赋成 \(\{A,C\}\) 和 \(\{B,C\}\),其他的都赋成 \(\{A, B\}\),那么这些赋成 \(\{A,B\}\) 点的颜色就确定了。还有一个性质,如果我们把上图中点 \(3\) 和点 \(4\) 赋值的颜色集合反过来,即点 \(3\) 赋为 \(\{B,C\}\),点 \(4\) 赋为 \(\{A,C\}\),你会发现点 \(1\) 和点 \(2\) 的颜色也会有变化。
对于两个有交的环,如下图:

显然,这样一定会寄。因为我们可以自由给点 \(2\) 点 \(3\) 和点 \(5\) 点 \(6\) 赋值。如果它们赋相反的,那么点 \(1\) 和点 \(4\) 就矛盾了。这样,我们得到了一个重要性质:两个环有交且对于每个环,去掉交点后点数仍大于等于 \(2\),就会寄掉。
其实,不一定要有交,在一个联通块也行,如下图:

在这里,我们可以操纵点 \(2\) 和点 \(6\) 的颜色。比如让点 \(2\) 必为 \(A\),点 \(6\) 必为 \(B\)。此时给点 \(9\) 的集合赋为 \(\{A,B\}\),就寄了。
我们将上面的性质推广到了一个联通块内的环,这样就会好做很多。
一度点
这些一度点显然是没有用的,我们之间按拓扑排序的方式删掉就行。
三度点
这里,我们只讨论点的度数最大为 \(3\) 的情况。也就是说图上只有二度点或三度点。
两个三度点
首先,如果只有一条边连接它们,如下图:

此时,由于除了点 \(x\) 和点 \(y\) 其他所有点都是二度点,所以必定是点 \(1\) 绕一个环回到点 \(2\),点 \(4\) 绕一个环回到点 \(5\)。但这样一定有两个环了,还在一个联通块内,并且去掉交点后点数显然大于等于 \(2\),就寄掉了。
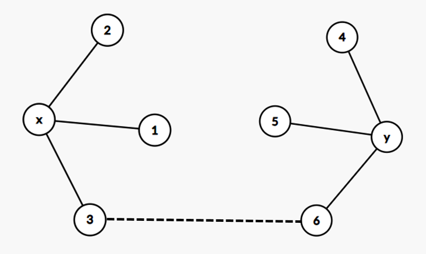
如果恰好有两条边连接它们,如下图:

显然,从点 \(4\) 出发的路径不能经过虚线上的点,否则会产生三度点。也不能到达点 \(2\),因为这样就会有三条边。所以,它只能绕回去。可是,这样一定会产生一个三度点,甚至产生一个四度点(绕回到点 \(y\))。所以,这种情况是不可能出现的。
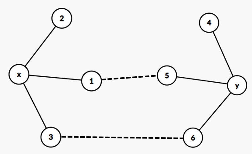
如果如果恰好有三条边连接它们,如下图:

它里面有 \(3\) 个环,对于任意两个环,它们除去交点的部分都是一条从点 \(x\) 到点 \(y\) 的路径(不包括端点)。这样,我们只需要让路径只有一个点或者没有点即可。只有一条这样的路径显然是不行的,如下图:

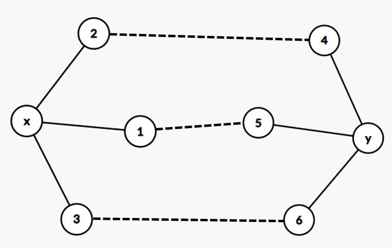
考虑环 \((x,1,y,5,3)\) 和环 \((x, 1, y, 6, 2)\),去掉公共部分后剩下 \((5,3)\) 和 \((6,2)\),显然都有至少两个点,就寄了。所以说,我们必须要两个只有一个点或者没有点的路径,如下图:

这样就是可行的,无论怎么构造都卡不掉。
综上,我们可以总结两个三度点时的规律:对于三度点 \(x\) 和三度点 \(y\),如果存在三条不同的从点 \(x\) 到点 \(y\) 的路径,且这三条路径中点数(不包含端点)小于等于 \(1\) 的路径有至少两条,则这个图合法。否则就寄了。
三个以上三度点
任意拎出来两个三度点,如果在上面的分析中它们不合法显然就寄了,考虑一种在上面的分析中合法的情况,也就是上面那个图。
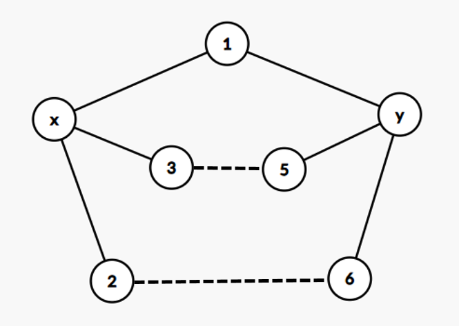
首先,点 \(1\)、点 \(3\) 和路径 \((2, 6)\) 中必有一个三度点。如果点 \(1\) 或点 \(3\) 是三度点,一种情况是它连接路径 \((2, 6)\),如下图:

显然寄了,因为最底下的两个环去掉交点的部分显然多于两个点。另一种情况是它单独挂着一个环,如下图:

这也寄了,考虑环 \((7,8,9,10)\) 和环 \((x,1,y,6,2)\),它们寄的很明显。所以说,点 \(1\) 和点 \(3\) 均为二度点。其实三度点在路径 \((2, 6)\) 中的情况也是差不多的,它只能绕回路径 \((2, 6)\) 或者挂着一个环,这两种显然都会寄,我就不画图了。
综上,如果图中有三个以上三度点,那么一定寄。
四度以上点
观察这个四度以上点,如下图:

对于任何一个相邻点,它都有两种情况,一种是挂着一个环,另一种是绕回另一个相邻点。显然,有挂环的情况是会寄的,但如果没有挂环,那它们之间任意两个点都会形成一个环,我们选取环 \((1,x,2)\) 和环 \((3,x,4)\) 就寄了。如果不明白大家可以手玩一下。
综上,如果图中有四度以上点,那么一定寄。
做法
二分图染色判断即可。判断路径长度只需要枚举中间那个点即可。时间复杂度线性。挺好写的,跑的也挺快。代码。
2. CF986F
3. AGC051D
拆边,如果一条边权值为 \(x\),那么就拆成 \(x\) 条边。容易发现这样操作后问题就转化为了求这个图的欧拉回路数。
问题来了,无向图欧拉回路计数是 NPC 问题!那么怎么办呢?
考虑给边定向,这样就变成有向图了,就可以做了。考虑给 \(S\) 与 \(T\) 之间定向 \(a^\prime\) 条 \(S \to T\) 的边,由于有向图有欧拉回路的充要条件是点的入度等于出度,所以我们可以推出来其它边的方向,这样跑有向图欧拉回路计数就行了。具体地,有 BEST 定理:
里面的 \(t^{\text{root}} (G, k)\),也就是根向树数量,可以直接矩阵树定理 \(O(1)\) 求。实际上,这个公式不能直接用在这道题上,还需要一些修正:
- BEST 定理求的是无起点欧拉回路数,但我们要有起点,所以要乘上一个 \(\text{deg}(S)\) 来确定第一条边。
- 同一类边是无标号的,但直接算算的是有标号的。这部分由于比较简单就不详细说了。
然后直接算。时间复杂度 \(O(a)\)。代码。
4. CF1313D
做不出来这种题是不是应该回炉重造了。
先离散化。考虑 DP,由于我们一个点最多被 \(8\) 条线段覆盖,所以就可以把选取的线段压进状态里。设 \(f_{i, S}\) 表示考虑前 \(i\) 个点,覆盖第 \(i\) 个点的线段状态是 \(S\) 时的答案。转移的话需要分讨一下线段是否覆盖第 \(i - 1\) 个点,但无论如何都是可以 \(O(1)\) 做的。总时间复杂度 \(O(n2^k)\)。

浙公网安备 33010602011771号