线段树历史信息问题的一类构建矩阵方法
前置知识:矩阵相关,线段树
本文记录一类历史信息问题的线段树解法,这个做法在比赛一题中为人所周知,现在,笔者希望在这里提出一种构造矩阵后能大大减少常数的维护方法。
最朴素的问题
考虑这样一个问题:区间加,区间最值,区间历史最值。
朴素的线段树维护会需要维护区间加/区间 \(\max\)/区间历史 \(\max\) 的 \(\text{tag}\),其中有非常复杂的 \(\text{pushDown}\) 需要实现,但我们今天并不需要动脑子,只需要做一些体力劳动就好了。
考虑给序列每一个位置维护一个向量:
其中 \(a\) 表示最大值, \(b\) 表示历史最大值。
注意,这里的矩阵乘法是广义矩阵乘法,即 \((\max,+)\) 矩阵。
在这道题我们可能没有看出来维护矩阵的便利,再看下一道题会更加明显。
加上区间覆盖呢?
我们得到了 P4314,我们现在多了一个区间覆盖,怎么做?
之前维护标记的方法看起来有点复杂,矩阵这个时候就体现出了其优势,因为我们有区间覆盖,肯定是需要在向量中多加一个 \(0\) 来让我们对矩阵中的值本身取 \(\max\) 的。
看起来我们有一个九倍常数的线段树,但实际上根本不是那么多,我们乘两个矩阵不难发现,有很多地方根本不会被更改,那么这些地方不论怎么乘都是常数,但是如何快速找到哪些地方是常数呢。
具体看看这个转移我们维护了什么,我们考虑这个矩阵有什么意义,一个元素在 \((x,y)\) 位置表示在向量中第 \(x\) 项对于第 \(y\) 项有一定贡献。
我们把这个转移关系的图画出来,如果这一位是 \(-\infty\),对于 \((\max,+)\) 矩阵,代表不可能做出贡献,我们就不连边。
我们把这两个矩阵一起构成的图画出来看看:

大概是这个样子,我们考虑一个矩阵中的值需要被维护,当且仅当它们之间有直接或者间接的到达关系。
但是有一些自环同样没有用,就比如 \(0\) 本身的自环,无论如何取值都是 \(0\),所以它也是一个常量,没有维护的价值。
为什么这个做是对的
我们把这个矩阵看成一个邻接矩阵,画出来的图就是上面那样,考虑矩阵乘法对于邻接矩阵意味着 Floyd,也就是说,我们多次矩阵乘法会出现有意义价值的那些数,本质上是对一个图做了传递闭包。
也就是说,我们可以把它看成向量中元素互相贡献的有向图,我们看这个图哪些点之间可以到达就去维护哪些点,具体转移就是类似一个 \(i\rightarrow j\rightarrow k\) 的过程。
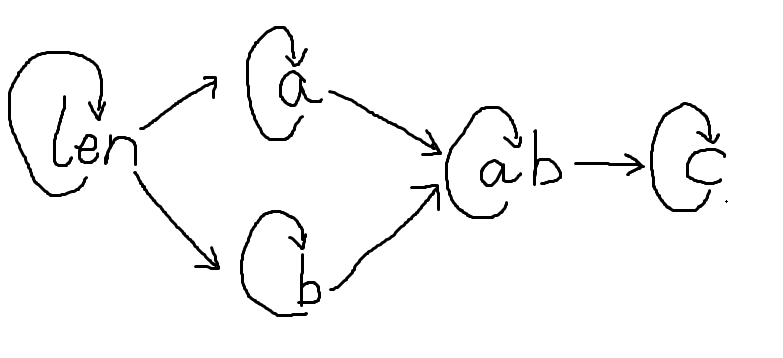
比赛
一句话题意,让我们求如下式子的值:
现在我们从区间历史最值到区间历史和,只要把广义矩阵乘法换成真正的矩阵乘法就好了。
为了维持这个矩阵,我们考虑到这种和的问题都要同时维护区间长度,同时,我们要维护两个数组和,两个数组乘积和,区间历史乘积和。

注意到我们只有 \(14\) 个可用转移,而且有一些完全没有用的,比如 \(\text{len}\) 和 \(\text{ab}\) 对自己的转移恒为 \(1\)。
于是我们只剩 \(12\) 个可用转移,建个图跑一下就找到了所有的转移应当为什么样子(类似 Floyd )。
转移如下:
ans.x11=x11*ano.x11;
ans.x13=x11*ano.x13+x13*ano.x33;
ans.x14=x11*ano.x14+x13*ano.x34+x14;
ans.x22=x22*ano.x22;
ans.x23=x22*ano.x23+x23*ano.x33;
ans.x24=x22*ano.x24+x23*ano.x34+x24;
ans.x33=x33*ano.x33;
ans.x34=x33*ano.x34+x34;
ans.x51=x51*ano.x11+ano.x51;
ans.x52=x52*ano.x22+ano.x52;
ans.x53=x51*ano.x13+x52*ano.x23+x53*ano.x33+ano.x53;
ans.x54=x51*ano.x14+x52*ano.x24+x53*ano.x34+x54+ano.x54;
其中 \(\text{ano}\) 为右乘的矩阵,\(\text{ans}\) 为乘积。

浙公网安备 33010602011771号