Spark:流式读取Kafka后读取ES并存储值Mysql,业务以及源码(一)
业务:
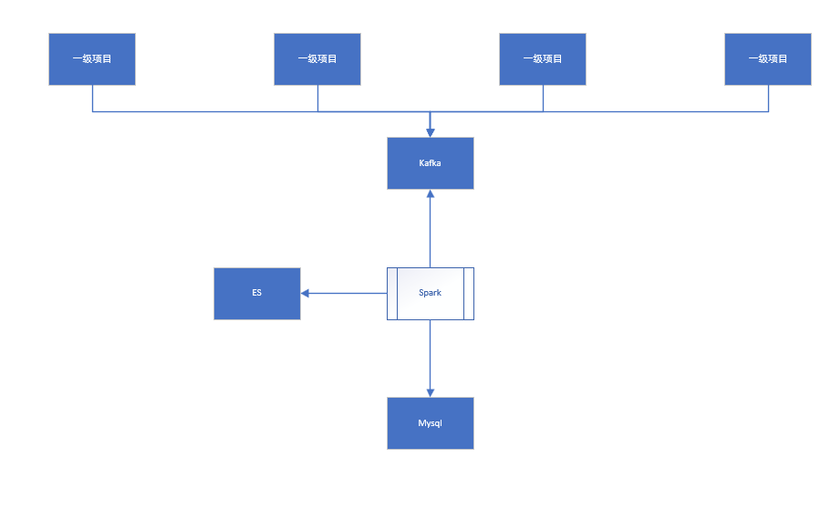
最近公司需要处理一些关于数据的问题,需要spark+kafka+es+mysql 进行联合处理
主要的业务也比较简单,大致是如下图

主要步骤如下:
- 一级项目将相关的处理标识提交至kafka
- spark读取kafka获取到相关的处理标识
- 根据相关的标识读取es数据
- 讲数据存储只Mysql
项目环境:
- spark:3.0.0
- scala:2.12.11
- es:8.2.3
pom文件:
<?xml version="1.0" encoding="UTF-8"?> <project xmlns="http://maven.apache.org/POM/4.0.0" xmlns:xsi="http://www.w3.org/2001/XMLSchema-instance" xsi:schemaLocation="http://maven.apache.org/POM/4.0.0 http://maven.apache.org/xsd/maven-4.0.0.xsd"> <parent> <artifactId>System</artifactId> <groupId>com.dispose.metadata</groupId> <version>1.0-SNAPSHOT</version> </parent> <modelVersion>4.0.0</modelVersion> <artifactId>sparkDispose</artifactId> <properties> <maven.compiler.source>8</maven.compiler.source> <maven.compiler.target>8</maven.compiler.target> </properties> <dependencies> <!--避免部分jar包冲突导致大部分的功能无法使用,建议优先将运行环境的相关的jar配置在最前--> <dependency> <groupId>org.apache.spark</groupId> <artifactId>spark-streaming-kafka-0-10_${scala.version}</artifactId> </dependency> <dependency> <groupId>org.apache.spark</groupId> <artifactId>spark-network-common_${scala.version}</artifactId> </dependency> <dependency> <groupId>org.apache.spark</groupId> <artifactId>spark-yarn_${scala.version}</artifactId> </dependency> <dependency> <groupId>org.apache.spark</groupId> <artifactId>spark-core_${scala.version}</artifactId> </dependency> <dependency> <groupId>org.apache.spark</groupId> <artifactId>spark-streaming_${scala.version}</artifactId> </dependency> <dependency> <groupId>org.apache.spark</groupId> <artifactId>spark-sql_${scala.version}</artifactId> </dependency> <dependency> <groupId>org.apache.spark</groupId> <artifactId>spark-hive_${scala.version}</artifactId> </dependency> <dependency> <groupId>org.apache.spark</groupId> <artifactId>spark-mllib_${scala.version}</artifactId> </dependency> <dependency> <groupId>org.scala-lang</groupId> <artifactId>scala-library</artifactId> </dependency> <dependency> <groupId>org.scala-lang</groupId> <artifactId>scala-compiler</artifactId> </dependency> <!--elasticsearch--> <dependency> <groupId>org.elasticsearch</groupId> <artifactId>elasticsearch-spark-30_2.12</artifactId> <version>8.2.3</version> </dependency> <!--excel--> <dependency> <groupId>com.crealytics</groupId> <artifactId>spark-excel_2.12</artifactId> <version>3.0.1_0.18.3</version> </dependency> <!--json--> <dependency> <groupId>com.alibaba</groupId> <artifactId>fastjson</artifactId> <version>1.2.54</version> </dependency> <dependency> <groupId>com.fasterxml.jackson.core</groupId> <artifactId>jackson-core</artifactId> <version>2.10.1</version> </dependency> <!--mysql--> <dependency> <groupId>mysql</groupId> <artifactId>mysql-connector-java</artifactId> <version>8.0.19</version> </dependency> <dependency> <groupId>com.alibaba</groupId> <artifactId>druid</artifactId> <version>1.1.10</version> </dependency> <dependency> <groupId>com.dounine</groupId> <artifactId>spark-sql-datasource</artifactId> <version>1.0.4</version> </dependency> </dependencies> <build> <plugins> <!-- 该插件用于将 Scala 代码编译成 class 文件 --> <plugin> <groupId>net.alchim31.maven</groupId> <artifactId>scala-maven-plugin</artifactId> <version>3.2.2</version> <executions> <execution> <id>scala-compile-first</id> <phase>process-resources</phase> <goals> <goal>add-source</goal> <goal>compile</goal> </goals> </execution> <execution> <id>scala-test-compile</id> <phase>process-test-resources</phase> <goals> <goal>testCompile</goal> </goals> </execution> </executions> </plugin> <plugin> <groupId>org.apache.maven.plugins</groupId> <artifactId>maven-assembly-plugin</artifactId> <version>3.1.0</version> <configuration> <descriptorRefs> <descriptorRef>jar-with-dependencies</descriptorRef> </descriptorRefs> </configuration> <executions> <execution> <id>make-assembly</id> <phase>package</phase> <goals> <goal>single</goal> </goals> </execution> </executions> </plugin> <plugin> <groupId>org.scala-tools</groupId> <artifactId>maven-scala-plugin</artifactId> <version>2.15.2</version> <executions> <execution> <id>scala-compile-first</id> <goals> <goal>compile</goal> </goals> <configuration> <includes> <include>**/*.scala</include> </includes> </configuration> </execution> <execution> <id>scala-test-compile</id> <goals> <goal>testCompile</goal> </goals> </execution> </executions> </plugin> <plugin> <groupId>org.apache.maven.plugins</groupId> <artifactId>maven-compiler-plugin</artifactId> <configuration> <source>${maven.compiler.source.version}</source> <target>${maven.compiler.target.version}</target> </configuration> </plugin> <plugin> <groupId>org.apache.maven.plugins</groupId> <artifactId>maven-jar-plugin</artifactId> <version>2.4</version> <!-- The configuration of the plugin --> <configuration> <!-- Configuration of the archiver --> <archive> <!--生成的jar中,不要包含pom.xml和pom.properties这两个文件--> <addMavenDescriptor>true</addMavenDescriptor> <!-- Manifest specific configuration --> <manifest> <!--是否要把第三方jar放到manifest的classpath中--> <addClasspath>true</addClasspath> <!--生成的manifest中classpath的前缀,因为要把第三方jar放到lib目录下,所以classpath的前缀是lib/--> <classpathPrefix>lib/</classpathPrefix> </manifest> </archive> </configuration> </plugin> </plugins> </build> </project>
源码:
package project.local import com.alibaba.fastjson.{JSON, JSONObject} import common.objcet.conf.TidbConfLocal import common.utils.connect.JdbcConnectUtils import common.utils.kafka.KafkaHostUtils import org.apache.kafka.clients.consumer.ConsumerRecord import org.apache.spark.rdd.RDD import org.apache.spark.sql.{DataFrame, Row, SQLContext, SaveMode, SparkSession} import org.apache.spark.sql.types.{StringType, StructField, StructType} import org.apache.spark.streaming.dstream.{DStream, InputDStream} import org.apache.spark.streaming.{Seconds, StreamingContext} import org.apache.spark.{SparkConf, SparkContext} import org.elasticsearch.spark._ /** * 实现讲kafka数据读取后,查询es,存储至tidb */ object Read_Kafka_DisposeES2Tidb4 { def main(args: Array[String]): Unit = { val conf: SparkConf = new SparkConf().setAppName(this.getClass.getName).setMaster("local[*]") //es 主要存储相关的 conf.set("es.nodes", "172.24.5.101") conf.set("es.port", "9200") //conf.set("es.scroll.size", "1") //闭slice优化,默认是打开的,会根据索引的数据量 和spark.es.input.max.docs.per.partition大小划分分区 //数据量 大的时候不建议关闭 //conf.set("es.input.use.sliced.partitions", "false") //mapping映射的数据类型是Date导致的bug //conf.set("es.mapping.date.rich", "false") conf.set("es.read.metadata.field", "_id") conf.set("es.nodes.wan.only", "true") //conf.set("es.index.auto.create", "true") //conf.set("es.output.json", "true") //conf.set("es.input.json", "true") //conf.set("es.http.timeout", "100s") conf.set("es.net.http.auth.user", "elastic") conf.set("es.net.http.auth.pass", "wfes@231") // 从源头过滤相关的字段,_source不生效,需要在这里设置es查询结果返回的字段,后面单独说明 conf.set("es.internal.mr.target.fields", "did") // conf.set("es.net.ssl","true") //conf.set("es.net.ssl.cert.allow.self.signed", "true") // conf.set("es.net.ssl.keystore.location","file:///F:\\http.p12") //conf.set("es.net.ssl.keystore.type","pkcs12") // conf.set("es.net.ssl.keystore.pass", "password") //conf.set("es.net.ssl.cert.allow.self.signed","false") val sc = new SparkContext(conf) val context = new SQLContext(sc) //十秒执行 val streamingContext = new StreamingContext(sc, Seconds(10)) //创建kafka对象 val kafkaStream: InputDStream[ConsumerRecord[String, String]] = KafkaHostUtils.installKafka(streamingContext, "knowledgeDir1") val kafkaStreamValue: DStream[(String)] = kafkaStream.transform(rdd => { val value: RDD[(String)] = rdd.mapPartitions(iter => { iter.map(line => { println(line.value()) (line.value()) }) }).filter(f => { f != null }) value }) val value: DStream[Int] = kafkaStreamValue.transform(rdd => { if (!rdd.isEmpty()) { rdd.collect().foreach(c => { //消息数据转换成json对象 val nObject: JSONObject = JSON.parseObject(c) //项目编号 val projectString: String = nObject.get("project").toString //索引 val index: String = nObject.get("index").toString //知识目录节点唯一识别 val uniqueidentifier: String = nObject.get("uniqueidentifier").toString.replace("/","_") //知识目录唯一识别 val uniqueidentifierMaster: String = nObject.get("uniqueidentifierMaster").toString.replace("/","_") //每个节点的具体参数 val query: String = nObject.get("rule").toString val valueES: RDD[(String, String)] = sc.esJsonRDD("sti_repo_all", query) val valueKeyRdd: RDD[Row] = valueES.map(x => { Row(projectString, uniqueidentifierMaster, uniqueidentifier, index, query, x._1) }) //存储至mysql //结构schema val commSchema = StructType(List( StructField("project", StringType, nullable = false), StructField("uniqueidentifierMaster", StringType, nullable = false), StructField("uniqueidentifier", StringType, nullable = false), StructField("did", StringType, nullable = false), StructField("query", StringType, nullable = false), StructField("uid", StringType, nullable = false) )) val frameItem: DataFrame = context.createDataFrame(valueKeyRdd, commSchema) //这个对象 需要自己创建,配置工具类进行使用功能,主要涵盖有tidb的相关配置信息等 val tidbConf: TidbConfLocal = new TidbConfLocal("sticloud.signmapping", "directory_record_" + uniqueidentifierMaster); frameItem.show(10) JdbcConnectUtils.jdbcSourceDBWriterDataFrame(tidbConf, frameItem, SaveMode.Append); }) val seq = Seq[Int](elems = 1) sc.makeRDD(seq) } else { val seq = Seq[Int](elems = 2) sc.makeRDD(seq) } }) value.print() streamingContext.start(); streamingContext.awaitTermination(); } }
package common.utils.kafka import common.objcet.conf.KafKaConf import org.apache.kafka.clients.consumer.ConsumerRecord import org.apache.spark.streaming.StreamingContext import org.apache.spark.streaming.dstream.InputDStream import org.apache.spark.streaming.kafka010.ConsumerStrategies.Subscribe import org.apache.spark.streaming.kafka010.KafkaUtils import org.apache.spark.streaming.kafka010.LocationStrategies.PreferConsistent object KafkaHostUtils { def installKafka(streamingContext: StreamingContext, topic: String): InputDStream[ConsumerRecord[String, String]] = { //消费者配置 val confKafka = new KafKaConf() KafkaUtils.createDirectStream[String, String]( streamingContext, PreferConsistent, Subscribe[String, String](Array(topic), confKafka.kafkaParams)) } }
package common.utils.connect import common.objcet.conf.DbConfOther import common.utils.spark.SparkUtils import org.apache.spark.sql.execution.datasources.jdbc.JDBCOptions import org.apache.spark.sql.{DataFrame, SaveMode} import java.util.Properties object JdbcConnectUtils { /** * * 作用: * -->主要用于将数据存储至相关的数据库 * -->支持mysql、支持 TIDB * * @param dbParamOther :数据库相关配置 * @value 相关参数 * url:数据库地址 * dbName:数据库名称 * tableName:数据库表名 * user:数据库用户名 * password:数据库用户密码 * driver:数据库连接驱动 * jdbcBatchInsertSize:一次提交的数据量 * @Test :测试用例说明 * 参考:mysql.local.Create_MysqlTable_UtilsDemo * @param saveMode :存储模式 * SaveMode.Overwrite * SaveMode.Append * SaveMode.Overwrite * SaveMode.Ignore * @param frameItem :存储的数据 * @param sparkModeParam :运行模式 * @return DataFrame * @author fds * @version 1.0 * @since JDK1.8 */ def jdbcSourceDBWriterDataFrame: (DbConfOther, DataFrame, SaveMode) => Unit = (dbParamOther: DbConfOther, frameItem: DataFrame, saveMode: SaveMode) => { frameItem.write.format("jdbc") .mode(saveMode) .option("url", dbParamOther.url + "/" + dbParamOther.dbName + "?rewriteBatchedStatements=true") .option("dbtable", dbParamOther.tableName) .option("user", dbParamOther.user) .option("password", dbParamOther.password) .option("driver", dbParamOther.driver) //注释掉当前行,没有表则自动创建 .option("truncate", dbParamOther.truncate) .option(JDBCOptions.JDBC_BATCH_INSERT_SIZE, dbParamOther.jdbcBatchInsertSize) .option("isolationLevel", "NONE").save() } }

浙公网安备 33010602011771号