损失函数
一.为什么要有损失函数
想象你在学习射箭:
你第一次射箭,箭飞到了靶子的左上角。
你第二次射箭,箭飞到了靶子的右下角。
你第三次射箭,箭差点脱靶。
现在问题来了:
你怎么知道自己射得好不好?
你怎么知道下一次该往哪个方向调整?
这时候就需要一个“裁判”来告诉你:
“第一箭,偏左上30厘米。”
“第二箭,偏右下20厘米。”
“第三箭,偏右50厘米,太远了!”
这个“裁判”就是损失函数。
二、损失函数的作用
1. 衡量“犯错程度”的尺子
没有损失函数:模型猜对了还是猜错了?不知道!
有损失函数:可以精确地告诉模型“你错了多少”。
例子:预测房价
真实房价:100万
模型A预测:110万(误差10万)
模型B预测:150万(误差50万)
损失函数会告诉你:模型B比模型A错得更离谱。
2. 告诉模型“往哪改”的导航
损失函数不仅告诉你错了,还告诉你该怎么改正。
就像射箭教练说:“你射得太偏左了,下次往右一点。”
在神经网络中,这个“往右一点”就是梯度,它告诉每个参数:“你应该变大一点还是变小一点?”
3. 比较不同模型的“成绩单”
你想买两个AI模型来预测股票。
怎么知道哪个更好?
让它们都用同一份历史数据预测,然后用损失函数打分:
模型A的损失:10分(分数越低越好)
模型B的损失:50分
结论:模型A更好。
4.损失函数的原理——核心就一句话
损失函数的本质:
用一个数字,概括模型的所有错误。
怎么做到的?
对每个预测错误,计算一个“扣分”。
把所有“扣分”加起来或平均。
得到一个总分,这就是损失值。
关键思想:
损失值 越大 → 模型越差
损失值 越小 → 模型越好
目标:让损失值尽可能小
三.欧氏距离
1.说明
欧氏距离就是我们在现实世界中用尺子量的“直线距离”。比如地图上两点之间的最短距离。
例子1:地图导航
你在天安门广场(A点)
目的地是王府井(B点)
直线飞过去有多远?这就是欧氏距离
例子2:游戏中的距离
玩《英雄联盟》或《王者荣耀》:
你的英雄在位置 (10, 20)
敌方英雄在位置 (40, 50)
你想知道“离敌人有多远”,游戏算的就是欧氏距离
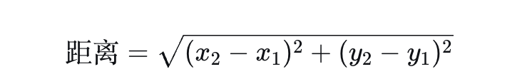
2.数学定义
1.二维空间
在平面上,两点 x1, y1 和 x2, y2 的欧氏距离:数学定义

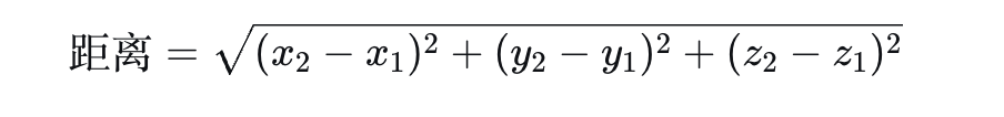
2. 三维空间

这就是我们中学学的“勾股定理”:
3. 高维空间(n维)

机器学习中的应用:
# 计算新样本与所有训练样本的欧氏距离
新样本 = [170, 65] # 身高170cm,体重65kg
样本1 = [165, 60] # 距离 = √[(170-165)² + (65-60)²] = √(25+25)=7.07
样本2 = [180, 80] # 距离 = √[(170-180)² + (65-80)²] = √(100+225)=18.03
四.几种损失函数
最直观的理解:它就是“用尺子量错误”
1.均方误差
均方误差(Mean Squared Error, MSE) 就是欧氏距离的平方(不开根号)。MSE是损失函数的一种,而且是回归问题中最常用的一种

MSE的三个关键特性:
特性1:非负性
MSE ≥ 0,永远不会为负
MSE = 0:完美预测(所有预测完全正确)
MSE > 0:有预测误差
MSE越小越好:目标是让MSE趋近于0
特性2:对称性
高估和低估同样惩罚:
真实值100,预测90(低估10) → 惩罚100
真实值100,预测110(高估10) → 惩罚100
惩罚相同!
特性3:可导性
MSE处处可导,梯度简单:

2.欧氏距离(欧氏距离可以作为损失函数使用)

欧氏距离去掉根号就是平方距离,再取平均就是MSE
计算示例
预测3个人的体重:
真实体重:[60, 70, 80] 公斤
预测体重:[65, 68, 75] 公斤
一步步计算:
单个误差:
第1人:60-65 = -5 → 平方 = 25
第2人:70-68 = 2 → 平方 = 4
第3人:80-75 = 5 → 平方 = 25
误差平方和:25 + 4 + 25 = 54
MSE = 54 ÷ 3 = 18
欧氏距离 = √54 ≈ 7.348
3.交叉熵损失
比喻:考试评分老师
假设一道判断题(对/错),正确答案是"对"。
学生A:预测"对"的概率 0.9,"错"的概率 0.1
学生B:预测"对"的概率 0.6,"错"的概率 0.4
学生C:预测"对"的概率 0.1,"错"的概率 0.9
学生A:-log(0.9) = 0.105 (扣0.105分)
学生B:-log(0.6) = 0.511 (扣0.511分)
学生C:-log(0.1) = 2.303 (扣2.303分)
规律:你越自信地猜错,老师越生气!
交叉熵的数学定义
- 二分类情况(两个类别)
真实标签:y ∈ {0, 1}
预测概率:ŷ = P(y=1)
交叉熵损失:L = -[y·log(ŷ) + (1-y)·log(1-ŷ)]
# 情况1:真是猫(y=1),预测0.9
loss = -[1×log(0.9) + 0×log(0.1)] = -log(0.9) ≈ 0.105
# 情况2:不是猫(y=0),预测0.1
loss = -[0×log(0.1) + 1×log(0.9)] = -log(0.9) ≈ 0.105
# 情况3:真是猫(y=1),但预测0.1(自信地猜错!)
loss = -[1×log(0.1) + 0×log(0.9)] = -log(0.1) ≈ 2.303
- 多分类情况(多个类别)
真实标签:one-hot编码,如[0,0,1,0,0]
预测概率:ŷ = [0.1,0.2,0.6,0.05,0.05]
交叉熵损失:L = -∑ y_i·log(ŷ_i)
只算真实类别那个:L = -log(ŷ_true_class)
举例:
# 真实:数字"7" → one-hot: [0,0,0,0,0,0,0,1,0,0]
# 预测概率:[0.01,0,0,0.1,0,0,0,0.85,0.04,0]
# 只计算第7个位置(真实类别):
loss = -log(0.85) ≈ 0.162
# 如果预测为"7"的概率很小:
loss = -log(0.01) ≈ 4.605 (惩罚很重!)
为什么交叉熵可以作为损失函数?
条件1:衡量"错误程度" ✅
# 预测准确时损失小
预测概率 = 0.99 → loss = -log(0.99) ≈ 0.01
# 预测错误时损失大
预测概率 = 0.01 → loss = -log(0.01) ≈ 4.61
# 预测模糊时损失中等
预测概率 = 0.5 → loss = -log(0.5) ≈ 0.69
条件2:可导(利于优化) ✅
五.损失函数对比
1.欧氏距离损失函数 vs MSE损失的梯度对比
梯度计算公式对比

1.欧氏距离损失梯度


举例:

2.MSE损失梯度




3.对比

Sigmoid + 交叉熵的优势
MSE和交叉熵的梯度
输入特征:x₁, x₂, ..., xₙ
权重和偏置:w₁, w₂, ..., wₙ, b
线性组合:z = w₁x₁ + w₂x₂ + ... + wₙxₙ + b
通过Sigmoid激活函数:
ŷ = σ(z)(1-σ(z)) = 1 / (1 + e^{-z})
激活函数sigmoid的导数=σ(z)(1-σ(z))
ŷ是预测概率,范围在(0,1)
MES:
损失函数:L_MSE = (ŷ - y)²
梯度(对z的导数):
∂L_MSE/∂z = ∂L_MSE/∂ŷ × ∂ŷ/∂z
= 2(ŷ - y) × ŷ(1-ŷ)
实际常简化(系数2被学习率吸收):
∂L_MSE/∂z ≈ (ŷ - y) × ŷ(1-ŷ)
交叉熵(Cross-Entropy):
损失函数:L_CE = -[y·log(ŷ) + (1-y)·log(1-ŷ)]
梯度(对z的导数):
∂L_CE/∂z = ∂L_CE/∂ŷ × ∂ŷ/∂z
= [-y/ŷ + (1-y)/(1-ŷ)] × ŷ(1-ŷ)
数学简化后得到:
∂L_CE/∂z = ŷ - y
输出是连续数值 → 用MSE
输出是概率或类别 → 用交叉熵
举例
我们训练一个AI医生判断X光片是否显示肺炎:
输入:X光片的特征
输出:ŷ = 肺炎概率(0~1)
真实情况:y = 1(有肺炎)或 0(无肺炎)
激活函数:Sigmoid(将医生判断转换为概率)
比较:两种教学方式(MSE vs 交叉熵)
第一阶段:医生完全不懂(初始训练)
第1个病人:确实有肺炎
真实情况:y = 1(有肺炎)
新手医生判断:ŷ = 0.2(20%认为有肺炎,很没把握)
损失函数MSE判断:
损失:L = (0.2 - 1)² = 0.64
梯度:∂L/∂z = (0.2 - 1) × 0.2×(1-0.2) = (-0.8) × 0.16 = -0.128
"""
教授反馈:"你判断得太保守了,应该更倾向肺炎一些。"
梯度-0.128意味着:稍微增加权重
"""
损失函数交叉熵判断:
损失:L = -log(0.2) ≈ 1.61
梯度:∂L/∂z = 0.2 - 1 = -0.8
"""
教授反馈:"你完全错了!这是明显肺炎,你居然只有20%把握?必须大幅提高判断标准!"
梯度-0.8意味着:大幅度增加权重
"""
第一阶段小结:
MSE:温和指导,医生进步缓慢
交叉熵:严厉纠正,医生快速调整
第二阶段:医生开始有自信
经过几轮学习后:
第10个病人:有肺炎
真实情况:y = 1
医生判断:ŷ = 0.8(80%把握,比较自信)
MSE判断:
损失:L = (0.8 - 1)² = 0.04
梯度:∂L/∂z = (0.8 - 1) × 0.8×0.2 = (-0.2) × 0.16 = -0.032
"""
教授反馈:"嗯,还不错,但还可以更准一点。"
"""
交叉熵判断:
损失:L = -log(0.8) ≈ 0.223
梯度:∂L/∂z = 0.8 - 1 = -0.2
"""
教授反馈:"接近了,但还有差距,继续提高。"
"""
第二阶段小结:
两位教授反馈相似,因为医生判断比较合理。
第三阶段:关键转折!医生过度自信犯错
第50个病人:其实是严重肺结核,不是肺炎
真实情况:y = 0(不是肺炎)
但医生之前看过很多肺炎病例,形成"有阴影就是肺炎"的错误观念
医生判断:ŷ = 0.95(95%自信是肺炎)
MSE判断:
损失:L = (0.95 - 0)² = 0.9025
梯度:∂L/∂z = (0.95 - 0) × 0.95×0.05 = 0.95 × 0.0475 ≈ 0.045
"""
教授反馈:"好像不太对...但也不太确定,你再想想。"
梯度0.045非常小!
"""
交叉熵判断:
损失:L = -log(1-0.95) = -log(0.05) ≈ 2.996
梯度:∂L/∂z = 0.95 - 0 = 0.95
"""
教授拍桌子:"大错特错!这不是肺炎!你太武断了!必须彻底改变判断标准!"
梯度0.95非常大!
"""
关键差异:
MSE梯度:∂L/∂z = (ŷ - y) × ŷ(1-ŷ)
当医生很自信时:
- ŷ接近0或1
- ŷ(1-ŷ)接近0
- 整个梯度接近0
- 学习停止!
交叉熵梯度:∂L/∂z = ŷ - y
当医生很自信时:
- ŷ接近0或1
- 但梯度仍然是ŷ-y
- 如果错了,梯度接近±1
- 继续学习!

六.归一化和未归一化
1.归一化
归一化 = 把数据调整到标准范围内
你有3个苹果、2个香蕉、5个橙子
总数 = 3+2+5 = 10
归一化后:
苹果比例 = 3/10 = 0.3
香蕉比例 = 2/10 = 0.2
橙子比例 = 5/10 = 0.5
总和正好等于1!
欧氏距离梯度就是归一化:
欧氏距离梯度公式:
梯度 = (预测误差) ÷ (总欧氏距离)
举个例子:
预测3个人的身高误差:
小明:误差 +2cm
小红:误差 -3cm
小刚:误差 +5cm
总欧氏距离 = √(2² + (-3)² + 5²) = √(4+9+25) = √38 ≈ 6.16
归一化后的梯度:
小明梯度 = 2 / 6.16 ≈ 0.32
小红梯度 = -3 / 6.16 ≈ -0.49
小刚梯度 = 5 / 6.16 ≈ 0.81
关键特点:所有梯度都在 -1 到 1 之间!
归一化的好处:
- 公平比较
- 加速训练
- 防止梯度爆炸
2.未归一化
MSE梯度未归一化


浙公网安备 33010602011771号