易基因:EWAS技术揭示吸烟对DNA甲基化的深远影响 助力精准健康评估|Nat Commun
大家好,这里是专注表观组学十余年,领跑多组学科研服务的易基因。
吸烟是全球范围内导致可预防死亡和疾病的主要原因之一,每年约有800万人因此丧生。吸烟与50多种疾病相关,包括心血管疾病、肺癌和痴呆等。传统的吸烟评估方法主要依赖于自我报告的问卷数据,如吸烟包年(smoking pack years )或当前吸烟状态,但这些方法容易受到回忆偏差的影响,且无法区分被动吸烟暴露。此外,常用的尼古丁生物标志物(如可替宁)半衰期较短(15-20小时),无法提供长期的吸烟暴露信息。因此,开发一种更客观、长期的吸烟生物标志物具有重要意义。近年来,血液中的DNA甲基化模式被证明是吸烟的潜在长期生物标志物,因为其不仅反映吸烟状态,还与累积烟草暴露量和戒烟时间相关。
近日,英国爱丁堡大学遗传学与癌症研究所Riccardo E. Marioni团队通过结合血液和大脑样本的表观基因组关联分析(Epigenome-Wide Association Study,EWAS),深入研究吸烟对DNA甲基化(DNAm)的影响,并开发一种新的表观遗传标记(mCigarette),用于更准确地评估吸烟行为及其健康影响。研究利用了多个英国队列的数据,包括Generation Scotland(GS)、Lothian Birth Cohort 1936(LBC1936)和Avon Longitudinal Study of Parents and Children(ALSPAC),通过多种技术手段(如Illumina EPIC 850K芯片、TWIST人类甲基化面板和Oxford Nanopore测序)分析了吸烟与DNA甲基化之间的关联。相关研究成果以《A blood- and brain-based EWAS of smoking》为题发表于Nature子刊《Nature Communications》(自然通讯)期刊。

标题:A blood- and brain-based EWAS of smoking(基于血液和大脑的吸烟表观基因组关联研究)
发表时间:2025年4月4日
发表期刊:Nature Communications
影响因子: IF14.7/Q1
技术平台:EWAS等(易基因金牌技术)
DNA甲基化提供了一种客观评估吸烟影响的方法。本研究对吸烟包年进行了贝叶斯(Bayesian)表观基因组关联研究(EWAS)(n=17865,850K芯片),并通过对来自苏格兰世代研究(Generation Scotland)的吸烟者和非吸烟者的全基因组数据(n = 46,通过TWIST和Oxford Nanopore测序技术检测到约4M~21M位点)进行扩展分析。研究开发了一种名为mCigarette的吸烟表观遗传生物标志物,并在两个英国队列中对其进行测试。在大脑和血液样本中进行的EWAS结果(大脑n=14,血液n=882,450K芯片)揭示多个可以区分吸烟状态的位点,且这些位点在不同组织之间并不重叠。此外,研究人员还进行了表观遗传吸烟的全基因组关联研究(GWAS),鉴定出多个与吸烟相关的位点。总体而言,通过整合多个组织和队列的DNA甲基化数据,可以提高吸烟相关生物标志物的准确性,并增强对吸烟影响的理解。
研究方法
使用三个英国队列数据:
Generation Scotland (GS):17865名志愿者的吸烟包年数据和Illumina 850K芯片的DNA甲基化数据。
Lothian Birth Cohort 1936 (LBC1936):882名参与者的血液DNA甲基化数据(850K芯片)和14名参与者的五个脑区(海马、背外侧前额叶皮层、初级视觉皮层、前扣带皮层和腹侧/外侧颞下皮层)的DNA甲基化数据。
Avon Longitudinal Study of Parents and Children (ALSPAC):多个时间点的DNA甲基化数据,用于验证mCigarette标记的性能。
研究方法
EWAS分析:使用贝叶斯方法对GS队列中的17865名个体进行吸烟包年与DNA甲基化位点的EWAS分析。
高分辨率EWAS分析:对46名吸烟者和非吸烟者(来自GS队列)进行高分辨率的DNA甲基化分析,使用TWIST人类甲基化面板(约4M CpG位点)和Oxford Nanopore Technologies(ONT)测序(约21M CpG位点)。
mCigarette生物标志物开发:基于GS队列的甲基化芯片数据,通过弹性网络回归开发mCigarette生物标志物,并在LBC1936和ALSPAC队列中验证其性能。
组织特异性分析:在LBC1936队列的五个脑区中分析吸烟与DNA甲基化的关联。
GWAS分析:对GS队列中的17105名个体进行自我报告吸烟和表观遗传吸烟(基于GrimAge DNAm包年)的全基因组关联研究(GWAS)。
结果图形
(1)吸烟的EWAS分析
在GS队列的17865名个体中,研究发现DNA甲基化可以解释50.0%的吸烟包年表型变异。42个独立的CpG位点与吸烟显著相关,其中26个位点的关联概率>95%。这些位点中,33个在之前的EWAS目录中被报告过,而9个未被报告的位点可能与神经发育和成瘾相关。

图1:项目概述
本研究使用三个英国队列的数据: GS队列、LBC1936队列、ALSPAC队列。所有三个队列均提供基于血液的DNA甲基化(DNAm)数据,而LBC1936还包含14名个体的五个脑区死后脑组织的DNAm水平信息。在GS中进行吸烟的贝叶斯表观基因组关联研究(EWAS)(850K芯片)。GS的23对年龄和性别匹配的吸烟者和非吸烟者,采用高分辨率甲基化测量方法(TWIST分析4M位点;ONT测序21M位点),随后进行EWAS分析。在GS中开发了一种吸烟的表观遗传生物标志物mCigarette,并在LBC1936中将其作为自我报告吸烟的预测因子进行测试。mCigarette与自我报告吸烟的关联在ALSPAC中的多个年龄组中得到复制。接下来使用LBC1936的芯片DNAm数据,对14名个体的五个脑区进行吸烟的EWAS分析。最后,在GS中进行了全基因组关联研究(GWAS),以比较自我报告吸烟和表观遗传吸烟(GrimAge DNAm包年评分)的遗传信号。
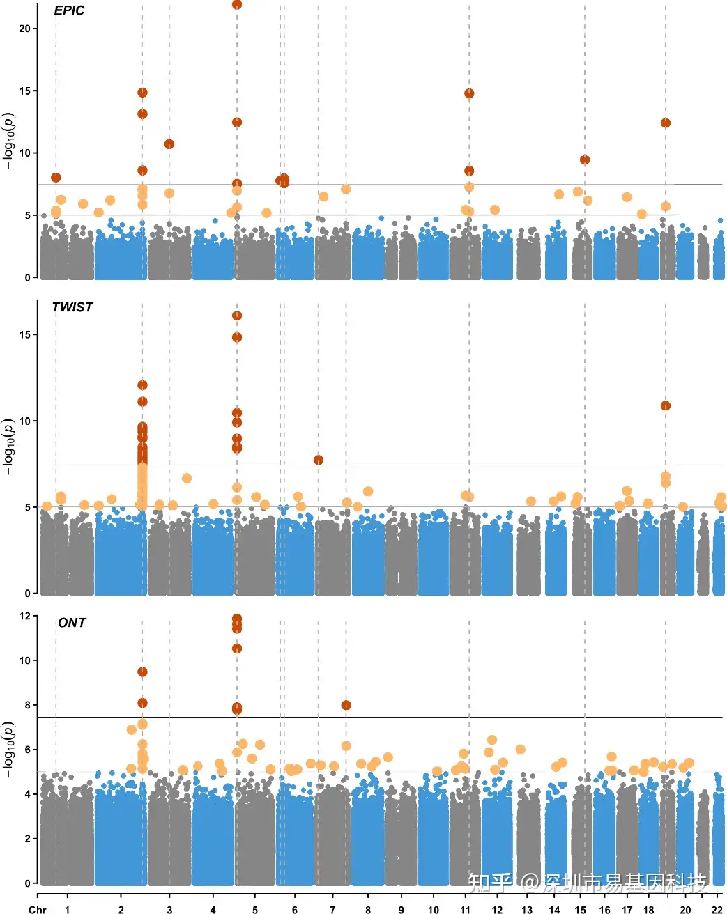
(2)吸烟的高分辨率 EWAS分析
在46名个体中,使用TWIST和ONT测序技术的高分辨率EWAS分析揭示了更多与吸烟相关的CpG位点。TWIST分析揭示了33个显著位点,其中2个位点在之前的EWAS目录中被报告过。ONT测序分析在相同阈值下揭示了9个显著位点,其中1个位点在之前的EWAS目录中被报告过。这些位点与多种基因相关,涉及癌症和神经发育障碍。

图2:GS队列研究中现吸烟者与从未吸烟者的EWAS分析(n=23对)。
本研究使用三种DNA甲基化数据进行分析:850K芯片、TWIST(4M CpG位点,靶向短读长测序)和ONT测序(2100万个CpG位点,长读长测序)。图中的X轴表示1-22号染色体,Y轴表示-log10(P值)。图中顶部的水平线标记了全基因组显著关联,底部的水平线表示提示性显著性阈值。虚线突出显示了与吸烟状态相关位点。
(3)吸烟相关的DNAm生物标志物:mCigarette
研究开发了mCigarette生物标志物,通过弹性网络回归从17865名GS个体中筛选出1255个CpG位点。在LBC1936队列中,mCigarette能够非常好地区分当前吸烟者、前吸烟者和从未吸烟者(AUC=0.98)。与之前开发的表观遗传标记相比,mCigarette在预测吸烟状态方面表现更好。

图3:吸烟表观遗传生物标志物(mCigarette)的预测性能
图中显示的曲线下面积(AUC)代表模型区分以下吸烟类别的能力:蓝色表示现吸烟者与从未吸烟者的区分,橙色表示现吸烟者与前吸烟者的区分,绿色表示前吸烟者与从未吸烟者的区分。

表1:mCigarette与六种吸烟生物标志物的对比基准测试:AHRR(cg05575921)血液DNAm水平的单一位点生物标志物、EpiSmokEr、BayesR评分、由McCartney等人开发的评分、GrimAge、mCigarette。
(4)组织特异性
在LBC1936队列的五个脑区中,研究发现吸烟与DNA甲基化的关联具有组织特异性。例如,cg05575921(AHRR基因)在血液中是吸烟状态的强标记,但在海马区中无法区分吸烟状态。而cg26381592(PMS1基因)在海马区中与吸烟状态强相关,但在血液中无法区分吸烟者。

图4:不同自我报告吸烟类别下的血液和脑组织中CpG甲基化水平。
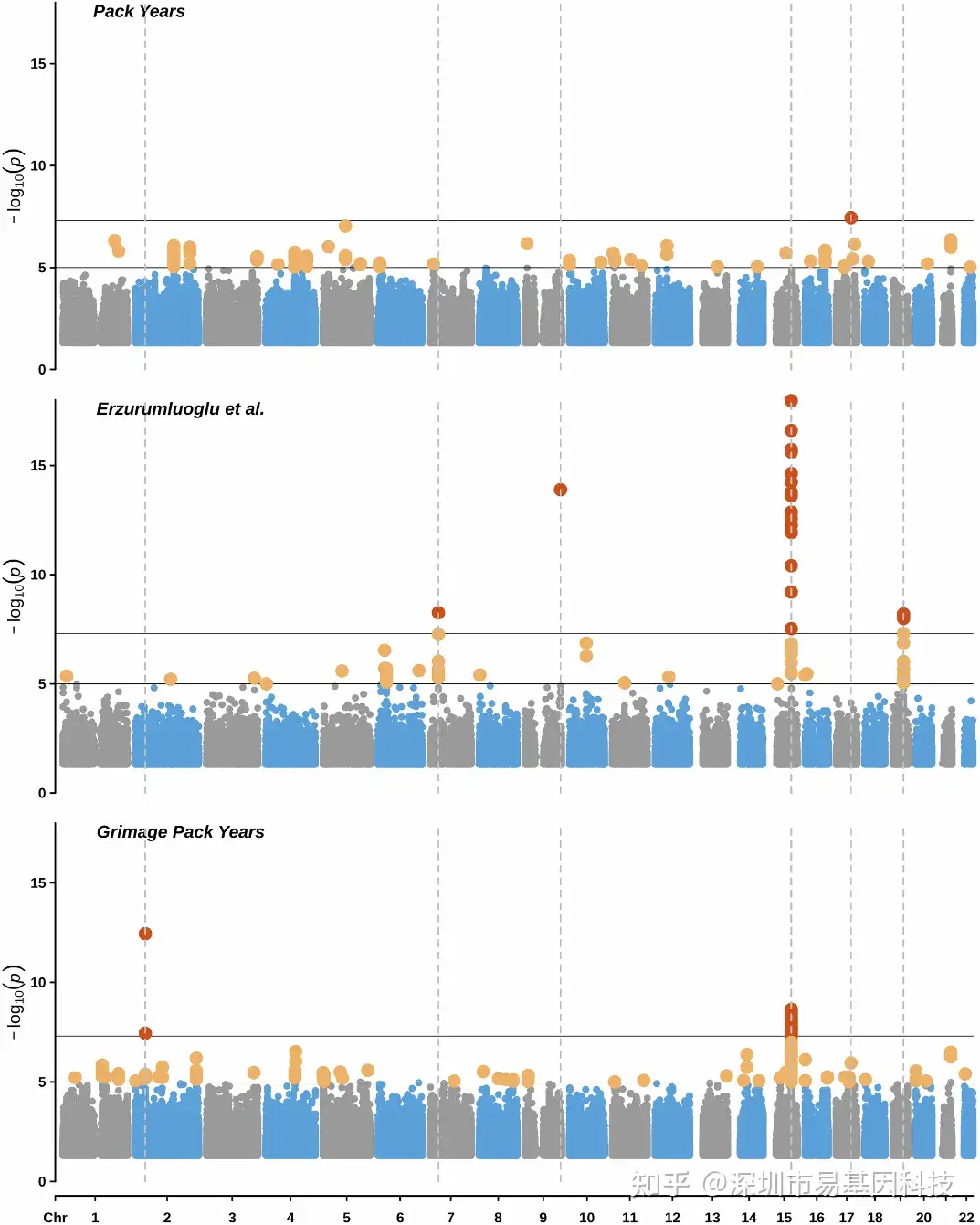
(5)自我报告和表观遗传吸烟的GWAS分析
在GS队列的17105名个体中,自我报告吸烟包年的GWAS分析发现了一个显著的SNP(rs117836409,位于GDPD1基因),而基于GrimAge DNAm包年的GWAS分析发现了39个SNP(位于两个基因风险位点)。这些位点中,rs1800440(CYP1B1基因)和rs6495309(CHRNA3-CHRNB4基因)与吸烟相关疾病和尼古丁依赖相关。这些结果表明,表观遗传吸烟标记可能比自我报告吸烟更能检测到显著的遗传位点。

图5:各种全基因组关联研究(GWAS)之间重叠的曼哈顿图
研究的表型包括:GS队列的吸烟包年(n=17105)、Erzurumluoglu 等人迄今为止最大的荟萃分析的吸烟包年(n=131892)、基于GrimAge的吸烟包年(n = 17105)的DNA甲基化(DNAm)分析。
易小结
本研究通过整合多个组织和队列的DNA甲基化数据进行EWAS分析,显著提高了对吸烟与DNA甲基化关系的理解,并开发了一种新的表观遗传标记(mCigarette),能够更准确地评估吸烟行为。研究结果表明,吸烟对不同组织的DNA甲基化模式有差异化的影响,这些差异可能与吸烟相关的疾病机制有关。此外,表观遗传吸烟标记的GWAS分析与自我报告吸烟的GWAS分析结果部分重叠,表明表观遗传标记可能捕捉到更广泛的生物学影响。本研究结果为未来吸烟相关疾病的研究和干预提供了新的工具和视角。未来的研究可以进一步探索表观遗传标记在不同人群中的应用,并深入研究吸烟对健康影响的分子机制。
EWAS分析在本研究中的重要作用
EWAS分析在本研究中起到了关键作用,通过全表观基因组关联研究,研究者能够系统地鉴定与吸烟相关的DNA甲基化位点。这些位点不仅揭示了吸烟对DNA甲基化的长期影响,还为开发新的表观遗传标记(如mCigarette)提供了基础。此外,EWAS分析还揭示了吸烟对不同组织DNA甲基化的差异化影响,为理解吸烟相关疾病的分子机制提供了重要线索。
【精准解码表观遗传密码 | EWAS全基因组甲基化研究解决方案】
在疾病机制研究的浪潮中,表观遗传调控正成为突破性发现的新引擎。易基因依托自主专利技术"多区域DNA甲基化检测探针设计及检测方法",为您定制高分辨率EWAS研究方案,开启甲基化标记挖掘新维度。
核心技术优势
突破传统芯片固定位点限制,基于疾病特征灵活设计500-1000个关键区域检测探针,覆盖启动子、增强子及染色质开放区域,实现靶向区域甲基化位点深度扫描(检测灵敏度达1%差异)。
全链条科研服务
- 差异位点筛选:病例对照EWAS分析锁定DMPs/DMRs
- 多维组学整合:
- meQTL分析解析甲基化-基因突变互作
- 表观转录组关联(差异甲基化位点与基因表达共分析)
- 表观基因组精细定位(Finemap) - 因果机制验证:通过因果推断检验(CIT)建立甲基化修饰与表型的因果关系
易基因为每项研究配备表观遗传学专家团队,从实验设计到生信分析全程护航,助力客户在Nature、Cell子刊等顶级期刊发表突破性成果。现开放10个免费方案设计名额,立即联系获取定制化EWAS研究策略!
参考文献:
Chybowska, A.D., Bernabeu, E., Yousefi, P. et al. A blood- and brain-based EWAS of smoking. Nat Commun 16, 3210 (2025). https://doi.org/10.1038/s41467-025-58357-6.
相关阅读:
1、疾病研究:RRBS及EWAS分析揭示同卵双生子与肾小球滤过率相关的DNA甲基化位点