易基因|靶基因DNA甲基化测序(Target-BS)
大家好,这是专注表观组学十余年,领跑多组学科研服务的易基因。
对目标基因/CpG 位点甲基化检测,建立灵活的靶向甲基化测序技术。易基因建立的靶基因甲基化高通量测序(Target Bisulfite sequencing,Target-BS)是针对已有目标基因panel组合,运用易基因自主研发的甲基化特异性多重PCR引物设计软件,对亚硫酸盐转化后的目标基因多重扩增,建库后进行超高深度(1000X以上)甲基化精准检测。
应用方向:
Target-BS广泛用于已知位点的甲基化Biomarker筛选、验证及临床转化应用
Ø 后续目标基因的甲基化验证
技术优势:
Ø 多基因多重扩增,检测通量高;
Ø 超高深度亚硫酸盐甲基化测序,相对于传统BSP克隆测序,检测灵敏度、准确性高,可准确检测到样本中低于1%的甲基化水平;
Ø 样本需求量低,20ng基因组DNA可实现多基因扩增;
Ø 适用范围广,对基因组DNA、FFPE样本、游离cfDNA等样本均适用;
Ø 检测费用显著低于现有技术、快周期、超高性价比。
技术路线:
实验策略:
分析内容:
送样要求:
经典案例:
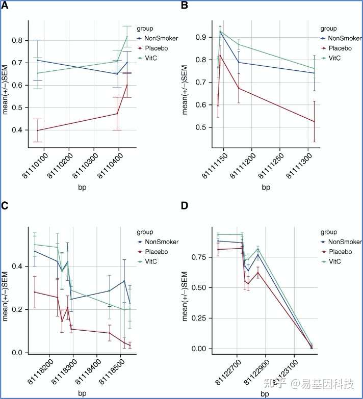
Vitamin C Prevents Offspring DNA Methylation Changes Associated with Maternal Smoking in Pregnancy靶基因DNA甲基化测序验证补充维C可减少后代因母亲妊娠期吸烟而发生的DNA甲基化变化
1、背景
妊娠期吸烟可能导致婴儿出生后终生肺功能下降。此前已有不少研究描述了孕妇吸烟相关的的DNA甲基化变化,如在分娩时的胎盘和脐血、胎儿肺以及儿童时期的口腔上皮和血液中。本研究为确定补充维生素 C 是否会减少后代因母亲因妊娠期吸烟而发生的甲基化变化。
2、方法
对胎盘、脐带血样本和口腔样本进行靶向重亚硫酸盐测序,然后使用靶基因DNA甲基化测序对选定的脐带血差异甲基化区域进行独立验证。
3、结论
安慰剂组和非吸烟者组之间甲基化差异≥10%的大多数CpG(69.03%)在补充维生素C后,至少50%可恢复到非吸烟者水平。恢复的CpG中有相当一部分与低甲基化CpG富集程度较高的表型结果相关。

靶基因DNA甲基化测序覆盖的所有321个CpG是平均覆盖深度的 337 倍
Target-BS用于甲基化多位点甲状腺结节诊断
Target-BS发现食管鳞癌甲基化 biomarker
参考文献:
① Targeted bisulfite sequencing identified a panel of DNA methylation-based biomarkers for esophageal squamous cell carcinoma (ESCC),DOI 10.1186/s13148-017-0430-7
② Identification of Tissue-Specific DNA Methylation Signatures for Thyroid Nodule Diagnostics,DOI: 10.1158/1078-0432.CCR-18-0841
③ Investigation of measurable residual disease in acute myeloid leukemia by DNA methylation patterns,http://doi.org/10.1038/s41375-021-01316-z
相关阅读:
表观技术 | 靶基因DNA甲基化和羟甲基化测序 定制精准检测
《Nature》子刊:新型DNA甲基化靶向测序技术,简化样本分析癌症相关性
学科前沿 | 靶向甲基化测序揭示维生素C可防止孕期吸烟引发的后代DNA甲基化改变
浙公网安备 33010602011771号