易基因|深度综述:Nat Rev Genet:DNA甲基化与衰老之间的密切关系
大家好,这里是专注表观组学十余年,领跑多组学科研服务的易基因。
2022年5月2日,维多利亚大学健康与运动研究所 (iHeS) Kirsten Seale等人在《Nature Reviews Genetics》(IF: 59.581)杂志上以“Making sense of the ageing methylome”为题发表了综述文章。详细论证了DNA 甲基化与衰老之间的密切联系,为表观遗传衰老机制提供了重要的依据。
随着时间的推移,人类DNA甲基化会受到重大的损害,这与一系列与年龄相关的疾病有关,包括心血管疾病和癌症。目前,科研人员已经发现了各种与年龄相关的DNA甲基化变化,包括在单个CpGs水平上的差异甲基化和可变甲基化,以及在整个甲基组水平上的变化。因此,今天就为大家带来一篇Nature Reviews Genetics刊登的综述,在文中,作者回顾了甲基组随着年龄增长发生这些变化,以及可以用来量化它们的统计工具;还详细介绍了将DNA甲基化与衰老表型联系起来的证据。最后,作者讨论了表观遗传衰老的机制发生的原因。
衰老是指整个生命周期内功能随时间的下降,其特征是损伤修复能力减弱导致分子损伤的积累。这种损害包括随着时间推移损害所有组织结构和功能的变化(即初级衰老),以及因环境扰动和疾病而加剧的有害变化(即次级衰老)。关于衰老的理论可以归结为两大学派。一种理论认为,衰老是一个程序化过程,其病理结果是正常生物学过程的延伸。第二种理论认为,衰老是损伤累积和随机错误的结果。而表观基因组的改变被认为是衰老的主要标志。
变老的DNA甲基化组
我们对DNAm随时间累积变化的理解受到用于量化这些变化的方法的约束(表1)。量化与年龄相关的 DNAm 变化的两种常用方法是寻找显示平均 DNAm 水平差异或年轻和年长个体之间 DNAm 差异的 CpG 位点。尽管这些方法被广泛使用,但它们是一维测量,仅关注单个而不是多个 CpG。
表1. 用于分析 DNAm与年龄相关变化的统计测试和软件
1.平均DNA甲基化的变化
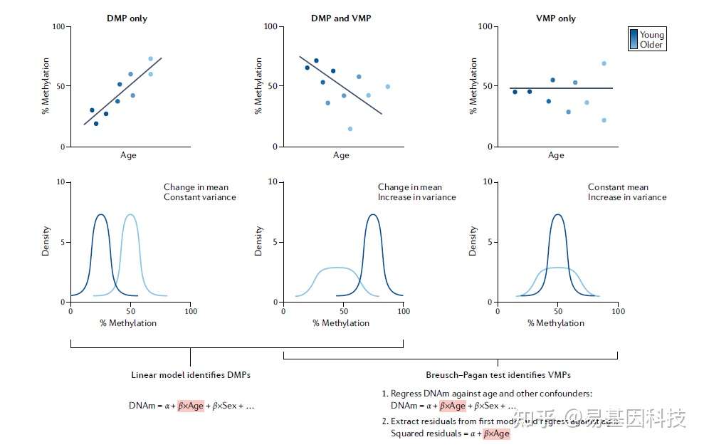
随着技术的进步,例如微阵列、RRBS和WGBS,促进了表观基因组关联研究 (EWAS) 的发展,该研究揭示了 整个生命周期种DNAm 在特定 CpG 位点的可预测和一致的变化(称为差异甲基化位置DMPs)。随着人类年龄的增长,DMP 的平均甲基化水平会发生“变化”(图 1),主要表现韦 DNAm 在 CpG 位点增加(高甲基化)或减少(低甲基化)。

2.表观遗传时钟:年龄预测因子
DMP 的集合已被用于构建多组织和组织特异性“表观遗传时钟”,能够高精度地预测样本的实际年龄。通过计算提炼个体在整个生命周期中共同存在的 DMP,这些算法可以准确地选择几个预测实际年龄的 CpG 位点,该参数称为“DNAm 年龄”或“表观遗传年龄”。大多数表观遗传时钟是使用弹性网络回归算法构建的(表 1)。
尽管表观遗传时钟具有预测实际年龄的能力,但更重要的是,每个时钟只是从 CpG 子集生成的多变量年龄预测因子,并不捕获整个衰老甲基化组。事实上,不同时钟选择的特定 CpG 位点通常不会重叠,并且不同的表观遗传时钟捕获不同的生物信号。因此,时钟概念不应与衰老的整体甲基化特征相混淆。
3.DNAm variance增加
一些 CpG 位点随着年龄的增长而表现出 DNAm 的变异性增加,被称为年龄相关的可变甲基化位置 (VMP)。这种衰老中的“表观遗传漂移”现象在双胞胎的研究中首先被发现,该研究发现同卵双胞胎的甲基化组随着年龄的增长而而表现出不同的变化。因此,VMP捕捉到了 DNAm 随年龄增长而积累的随机变化,这在很大程度上是由生命周期中积累的环境因素的差异所导致的。与 DMP 不同,VMP 不一定会随着时间的推移显示其平均 DNAm 的变化,而是显示 DNAm variance的增加(图 1)。尽管 DMP 和 VMP 之间确实存在一些重叠,但相当大比例的 VMP 独立于差异 DNAm 变化。有趣的是,尽管绝大多数 VMP 在整个生命周期中的variance增加,但一小部分 VMP 的variance随着年龄的增长而降低,趋于接近完全甲基化或未甲基化状态(甲基化分数为 0 或 100%)。尽管如此,我们不能排除可变性与技术差异的可能性,这可能会在中间 DNAm 水平(DNAm 水平接近 50%)显示更多错误。因此,与 DMP 不同,VMP 与实际年龄的差异越来越大,因此可能会捕捉到 DNAm 随年龄而发生的个体间差异。
4.DNAm entropy增加
虽然DNAm本质上是二元的,但特定CpG位点的DNAm通常是在一组细胞上测量的,并以梯度(从0到100%)表示。在哺乳动物基因组中,CpG位点通常高度甲基化或未甲基化,很少有中等水平的甲基化位点。然而,在许多CpG位点,甲基化水平随着时间的推移会发生变化,其中个别CpG位点(即DMP和VMP)的微小变化累积导致年轻的DNAm模式无法在整个生命周期中保持。这种现象被描述为“‘epigenetic chaos”,也就是信息的丢失,会随着年龄的增长而增加。
与entropy相关的单个CpG的不确定性不同于VMP的随机性,虽然VMP捕捉到随年龄变化的变量,但entropy与预测任何给定细胞的CpG甲基化状态的能力有关(图2)。例如,通过对一组细胞进行采样来估计CpG状态,其中一半的细胞是甲基化的,另一半是未甲基化的,这将产生较高的entropy值,因为人们只有50%的机会准确地估计甲基化比例。因此,在一个单一的度量中,Shannon entropy可以估计一组CpG位点内的信息量,并量化所有CpG站点DNAm中与年龄相关的不同变化的总累积(图2)。随着年龄的增长,Shannon entropy的增加意味着老化的甲基组转移到高度无序的表观遗传状态。

5.关联网络
DMP和VMP的识别为了解个体CPG中DNAm模式随年龄的变化提供了有价值的方法,甲基组形成了一个复杂的协调CpG位点网络,显示出类似的甲基化状态。(即,共甲基化)。
因此,DNAm分析可能受益于采用一种涵盖整个甲基组相互关联的“系统生物学”方法。加权相关网络分析 (WGCNA),已被用于识别与人类衰老相关的共甲基化CpG位点簇,无论是在单个组织中,如唾液,还是跨组织,如脑和血液。WGCNA通过测量CpG位点之间的成对相关性来构建共甲基化网络(图3)。然后将这种相关性转换为邻近性度量(即网络互连)(表1)。

DNAm变化是衰老的标志
尽管按时间顺序老龄化的比率相同,但生物老龄化的个体比率存在显著差异。因此,生物年龄代表身体组织和整个生物体的功能状态,以及与年龄相关的疾病和残疾风险,所有这些都受到内在因素(例如性别和遗传)以及终身累积环境刺激的影响。作者回顾了DNAm是老化的标志的证据,对照以前发表的标准,在正常老化过程中出现变化,实验加速的表观遗传老化加速老化或实验减速的表观遗传老化减缓衰老。
1.DNAm与疾病的年龄相关变化
与健康人相比,许多与年龄相关的疾病都观察到了DNAm模式的改变。脑血管病患者左心室和血液中DNAm含量均有变化。动脉粥样硬化的个体在血液(例如单核细胞)以及内皮和血管平滑肌细胞(例如主动脉和动脉)中显示出异常的DNAm模式。血液DNAm模式的变化与高血压有关,并被认为与血压变化有关。在2型糖尿病患者的脂肪、肝脏和胰岛中也观察到DNAm的变化。在骨性关节炎患者的软骨中有DNAm的变化,在骨质疏松和骨关节炎患者的骨骼中有DNAm的变化。
DMP和VMP各自促进衰老的确切机制还没有很好的定义。两个年龄相同的个体(因此在DMP上具有相似的模式)可能在VMP上表现出不同的模式(图4);这些不同的模式可能反映了在关键基因组区域引入了额外的噪音,这些噪音随着年龄的增长自然变得失调。

2.延长寿命
如果甲基组的累积改变在年龄相关的下降中起到了因果作用,那么从理论上讲,这种变化应该通过促进长寿的干预措施来缓解或逆转。这一概念是某些饮食、药物和表观遗传返老还童策略的基础。
年龄相关性DNAm变化的起源
1.甲基组老化的机制
据推测,老化的甲基组反映了与发育和分化有错综复杂联系的先天过程。为了支持这一假设,表观遗传学时钟可以非常准确地估计出从出生前的哺乳动物到地球上最年长的在世哺乳动物的广泛寿命范围内的年代年龄。此外,表观遗传时钟可以提供对胎龄的准确估计,这涉及一个高度协调的发育过程(图5)。

结论
衰老研究的目标是瞄准让我们活得更长的生物过程,并帮助我们在更年轻的状态下做到这一点。实现这一目标的重要一步是确定在整个生命周期内“解体”的表观遗传过程。
虽然衰老的表现是晚年生活的一个特征,但与年龄相关的甲基组变化表明,潜在的细胞和分子变化开始得更早,甚至在发育期间也是如此。可以说,老化的甲基组最令人震惊的特征是DNAm改变普遍跟时间顺序的一致性,暗示着我们细胞内存在一个分子时钟。然而,生物老龄化的图景远未完成。
弄清楚老化的甲基组并不是一件容易的事情。它需要应用计算工具,准确地分析和解释在整个寿命周期内变化的多功能DNAm标记。尽管面临挑战,但我们仍处于重大科学发现的边缘,需要多个领域的研究人员进行广泛的合作努力,分享想法和数据,共同推动老龄化领域向前发展。
参考文献:https://doi.org/10.1038/s41576-022-00477-6
相关阅读:
Nature | DNA甲基化测序助力人多能干细胞向胚胎全能8细胞的人工诱导
浙公网安备 33010602011771号