易基因|Cell:单细胞组学技术揭示人类原始生殖细胞的转录组和DNA甲基化图谱
Cell:单细胞组学技术揭示人类原始生殖细胞的转录组和DNA甲基化图谱
人类原始生殖细胞产生于胚胎发育的早期,是发育为成熟的精子和卵细胞的前体细胞,精卵结合后会发育成新的个体、并将遗传物质传递给下一代以维持种族的延续。因此,对人类早期胚胎以及原始生殖细胞的发育过程进行深入的研究对于理解人类胚胎发育特征以及对于反复流产、胚胎停育、不孕不育等疾病发病机制的认识具有重要意义。今天,我们就一起来看一篇利用单细胞甲基化测序技术研究原始生殖细胞的Cell封面文章(The Transcriptome and DNA Methylome Landscapes of Human Primordial Germ Cells)。
介绍
本文使用了作者开发的单细胞RNA测序(RNA-seq)方法分析了来自妊娠4至19周的15个胚胎的233个男性和女性原始生殖细胞(PGCs)以及其中13个胚胎的86个邻近体细胞的转录本。此外,作者还利用全基因组测序技术(WGBS)分析了男性和女性性腺PGCs的DNA甲基组,以及其中11个胚胎在妊娠7-19周时的邻近体细胞。
结果
人类PGC细胞转录图谱
通过单细胞转录组研究了人类PGS细胞在7-19周的不同细胞不同发育阶段的不同表达模式,首先,作者对单个生殖细胞及其邻近的体细胞进行了非监督的层次聚类分析,对照组选择了11个来自胚泡内细胞团(ICM)的单个细胞。其中,作者对PGS细胞在有丝分裂及减数分裂阶段的不同基因表达特点经行了深入的分析,结果表明人类有丝分裂的PGCs清楚地表达多能性标记基因,如Pou5f1(也被称为OCT4)、NANOG、ZFP42(也被称为REx1)、DPPA3(也被称为Stella)、SALL4和Lin28a,但不像以前报道的那样表达SOX2(图1)。

图1 人类PGC发育过程中不同基因组的表达模式示意图
人原始生殖细胞基因表达谱的动态变化
接下来,作者分析了ICM、PGCs和周围体细胞之间的主要差异。作者发现了988个有丝分裂PGC特异基因和1,325个性腺体细胞特异基因(图2A)。通路分析表明,PGCs高度富含与碱基切除修复(BER)途径有关的基因,与处于类似发育阶段的小鼠PGCs相似。这一发现表明,性腺PGCs可能对BER相关机制有很强的需求,可能是由于整体DNA去甲基化和其他表观遗传的重编程过程。此外,在体细胞的不同阶段的特征性基因及所涉及的通路中,作者发现随着发育的进程一些细胞全能性相关的基因表达在下降,并且发现同女性相比,男性性腺的PGS细胞具有更多的特异性表达基因(图2C)。
图2 人类PGC细胞的基因动态表达谱
人女性生殖细胞X染色体的再激活
在小鼠雌性PGC发育过程中,失活的X染色体在E8.5至E12.5之间重新激活。作者通过分析X染色体上基因的表达来分析人类PGCs的这种行为。4~11周雄性PGCs X染色体上基因的总表达水平是雌性的1.6倍(图3)。这表明失活的X染色体在4周后已经在雌性生殖细胞中重新激活。此外,作者还分析了X染色体上基因的等位基因特异性表达。在4周胚胎中,雌性生殖细胞显示HDHD1基因的双等位基因表达,而同一胚胎中的性腺体细胞显示单等位基因表达。这表明,在妊娠4周后,原核细胞中失活的X染色体已经重新激活,并表现出双等位基因的表达。

图3 X染色体上所有检测基因在雄性和雌性生殖细胞和体细胞中总表达水平的柱状图
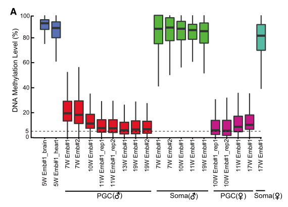
人PGCs的动态甲基组分析揭示了DNA低甲基化模式
为了了解DNA甲基化对基因表达的调节,作者还对人PGCs进行了WGBS分析。分析表明,13周和19周胚胎的雄性PGCs中的甲基化水平保持在较低水平,这意味着19周后雄性PGCs应该会发生整体重新甲基化。在PGCs的整体去甲基化过程中,性腺体细胞如预期的那样保持了高水平的DNA甲基化。同时,作者还分析了女性生殖细胞的DNA甲基组情况。在10周胚胎中,雌性生殖细胞的DNA甲基化水平最低,这表明10周女性胚胎中的PGC以及11周男性胚胎中的PGC具有非常低甲基化的基因组(图4A)。这表明,女性生殖细胞的再甲基化始于妊娠11周,这比男性生殖细胞的甲基化要早得多。且基因区的去甲基化与基因间区的高度甲基化同时存在,而5hmC的状态与甲基化的模式相反(图4G)。


图4 人生殖细胞DNA整体重甲基化研究
人生殖细胞功能基因组元件的甲基化动力学研究
总体而言,不同功能基因组元件上的DNA去甲基化反映了整体模式,但程度不同。一些转座子原件的活化与一些甲基化的残基具有相关性。分析表明,在怀孕5周的时候PGS中90%以上的转座子原件处于甲基化状态,而到了10周或11周的时候这一数字降到了8%,一些进化上更年轻的转座子原件,在整个基因组表现出低甲基化状态时仍表现出更高的甲基化及基因表达状态,说明了一些表观遗传性状的可遗传特征。
DNA甲基化与基因表达的关系
基因启动子区域的DNA甲基化通常代表相应基因的表达。作者分析了相应基因启动子区域的RNA表达与DNA甲基化的关系。作者发现,即使在整体去甲基化后,这些区域之间的负相关性仍然存在于PGCs中,就像在体细胞中一样。但是,与邻近性腺体细胞的负相关程度,尤其是10周胚胎的雌性原生殖细胞,在原生殖细胞中较弱。这表明,尽管启动子DNA甲基化仍然抑制基因在PGCs中的表达,但其调节程度明显低于体细胞。然而,已有研究表明,基因体中的DNA甲基化通常与基因表达呈正相关。作者分析了这种差异,发现未表达的基因在基因体中的DNA甲基化水平仍然低于表达的基因,这表明基因体中的DNA甲基化仍然潜在地促进了PGC中的基因表达,尽管程度要小得多。
结论
人类迁移期到性腺时期PGCs的转录组和DNA甲基化组总体上与小鼠PGCs在可比阶段的相似。同时,人PGCs也表现出不同于小鼠PGCs的独特特性,具有独特的转录模式,能同时表达多能性基因与生殖系特异的基因,此外,人类原始生殖细胞存在全基因组范围的去甲基化。作者的工作为阐明人类PGCs整体表观遗传重编程过程中DNA甲基化和基因表达网络的复杂关系铺平了道路。
重点来了!
关于单细胞及微量样本DNA甲基化测序(Micro DNA-BS)
单细胞及微量样本的DNA甲基化组学研究很大程度上受制于建库技术。传统的文库构建方法或类似于基因组DNA的单细胞扩增技术很难应用到甲基化实验过程中。易基因建立了一系列微量及单细胞甲基化检测方法,可对于不同项目需求,个性化提供检测方案,在全基因组、简化基因组、靶基因等范围开展甲基化检测。
易基因建立的单细胞及微量样本DNA甲基化测序技术包括:
- 单细胞全基因组甲基化测序(scWGBS)
- 单细胞简化基因组甲基化测序(scXRBS)
- 微量样本全基因组甲基化测序(Micro DNA-WGBS)
- 微量细胞或DNA简化基因组甲基化测序(Micro DNA-XRBS)
应用方向:
单细胞及微量珍稀样本的甲基化研究主要应用于肿瘤发生机制,癌症研究,胚胎植入前诊断,胚胎早期发育,生殖细胞重组,干细胞及细胞异质性等研究领域。应用的样本包括单细胞、微量细胞、微量DNA等。特别适用于难以取得的珍稀样本和细胞异质性较大的组织样本。
技术优势:
1)微量细胞或单细胞全基因组甲基化测序(Micro DNA-WGBS)DNA起始量:
单细胞/100-1000个细胞
1ng基因组DNA
90%以上基因组CG覆盖
2)微量细胞或DNA简化基因组甲基化测序(Micro DNA-XRBS)DNA起始量:
1ng基因组DNA;
10-20M有效CG位点覆盖;
20G测序数据量。
有DNA甲基化测序或组学研究的老师,可致电易基因0755-28317900咨询了解。
亮点研究:单细胞组学测序技术揭示水稻受精过程DNA甲基化重塑机制
Nature | DNA甲基化测序助力人多能干细胞向胚胎全能8细胞的人工诱导
浙公网安备 33010602011771号