7-1计算分段函数[3] (10分)(期中考试)
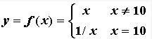
本题目要求计算下列分段函数f(x)的值:
输入格式:
输入在一行中给出实.数x。
输出格式:
在一行中按“f(x) = result”的.格式输出,其中x与result都保留一位小数。
输入样例1:
10
输出样例.1:
f(10.0) = 0.1
输入样例2:
234
输出样例2:
f(234.0) = 234.0
#include<stdio.h>
#include<math.h>
int main()
{
double x, f;//定义浮点类型
scanf("%lf", &x);//读入
if(x != 10)//if条件语句
{
f = 1.0 * x;//此处可以用1.0乘也可以不用
}
else
f = 1.0 / x;//同上
printf("f(%.1f) = %.1f\n", x, f);//输出x,f
return 0;
}

浙公网安备 33010602011771号