单调队列优化DP&斜率优化&四边形不等式
P3195 [HNOI2008] 玩具装箱 - 洛谷 | 计算机科学教育新生态 (luogu.com.cn)

对于这种类型的题目,我们一般可以转化为如下形式:

那么,$val(i,j)$ 又通常分为两种情况:
- 其值仅与$i,j$中的一个有关。
- 其值与$i,j$两者都有关。
单调队列优化DP
对于前者,我们有一个这样的例子:CF372C Watching Fireworks is Fun

那么我们一开始设的状态是:
,可以化简为
。

我们看到,由于$|a_i-j|+b_i$是常量,所以我们主要关心前者,也就是$k$。那么这里的$k$就相当于上面所述的j,他是与$i$无关的。
观察发现,最终$max$的取值只与上一状态中连续的一段的最大值有关,而这就相当于一个RMQ问题。不同的是,他是一个滑窗,于是我们就想到了单调队列来解决这个问题。将原来的$f_{i-1}$构造成一个单调队列,均摊复杂度为$O(1)$。
总结一下单调队列优化动态规划问题的基本形态:当前状态的所有值可以从上一个状态的某个连续的段的值得到,要对这个连续的段进行RMQ操作,相邻状态的段的左右区间满足非降的关系。关于详细操作,后面还会有所涉及。
而这类DP问题,我们统称为$1D/1D$的动态规划。(1D:单向组合)
斜率优化
对于后者,由于最终的决策与$i,j$均有关,不存在只与一方有关,我们需要将这个问题更抽象一步。
根据前人的经验,这类问题最终可以转化为这样的模型:
有一次函数$y=kx+b$,变量$y,k,x,b$之间相互有一些联系。现需要求得一种可行的方案,使得该函数与$y$轴交点纵坐标(截距)最小(或最大)。
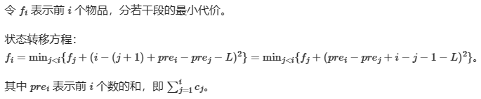
我们直接以玩具装箱这道题来讲。最朴素的思想是:

对其进行朴素的优化:

此时迎来了我们的重头戏。这个模型,是否与$b=y-kx$有几分相似呢?左边的$f_i-(s_i-L')^2$和$b$一样,都是我们想要最小化的内容。
我们像这样去做:

看到这里,您一定是一头雾水。您一定会想,$x-j,y_j,k_i,b_i$这些都是什么jb玩意儿?其实,这些一开始都是需要感性理解的。仔细观察发现,其实每一个这样的变量里面要么是常量,要么是只与$i,j$的其中一个有关的一些函数,说白了,就是一坨和类似于$i,j$这种东西变量。但这个变量不会是某种意义上的常量,您可以把$x,y,k,b$理解为函数。相当于是函数套函数,因此,当我们选择合法的$i,j$组合并在图上描点时,可以得到一下图像:

是许多零散的点。我们将位于凸包上的点用线连起来,大概就是这样。这时我们注意,$k_i$是一个定值。也就是说,最后我们选取的点得到的函数图像,其斜率一定为$k_i$。为什么要关注凸包呢?其实,求解这个问题,相当于将一条斜率为$k_i$的直线从下往上平移,落在这条直线上的第一个点就是答案了。因此不难得出,答案一定位于凸包上。

四边形不等式
如何能够证明单调队列维护的正确性呢?



总体来说:
如果可以证明w满足
那么$f$就满足决策单调性。单调性那就可以各种优化,比如单调队列,二分等。
紧接着,我们证明在问题玩具装箱中的决策单调性:


最终,请看代码:
#include<bits/stdc++.h>
#define int long long
#define rep(i,a,b) for(int i=a;i<=b;i++)
#define rep2(i,a,b) for(int i=a;i<b;i++)
using namespace std;
const int INF=0x7fffffff;
const int N=5e4+5;
int n,L,head=1,tot,q[N],sum[N],dp[N];
int X(int j){return sum[j];}
int Y(int j){return dp[j]+(sum[j]+L)*(sum[j]+L);}
long double slope(int i,int j){
return (long double)((Y(j)-Y(i))/(X(j)-X(i)));
}
signed main(){
std::ios::sync_with_stdio(0);
cin.tie(0),cout.tie(0);
cin>>n>>L;
L++;
rep(i,1,n){
cin>>sum[i];
sum[i]+=sum[i-1]+1;
}
q[++tot]=0;
rep(i,1,n){
while(head<tot&&slope(q[head],q[head+1])<=2*sum[i])head++;
dp[i]=dp[q[head]]+(sum[i]-sum[q[head]]-L)*(sum[i]-sum[q[head]]-L);
while(head<tot&&slope(q[tot-1],q[tot])>=slope(q[tot-1],i))tot--;
q[++tot]=i;
}
cout<<dp[n]<<endl;
return 0;
}
To be continue...

浙公网安备 33010602011771号