作业三:需求分析
| 这个作业属于哪个课程 | 2022软件代码开发技术 |
|---|---|
| 这个作业的要求在哪里 | 综合系统开发----需求分析 |
| 这个作业的目标 | 了解项目初始化的第一步---需求分析 |
项目背景
一家公司提供服务出租,自身有一些员工,另外还有很多自由职业者作为服务商存在。公司目前使用Excel工作表来管理他们的客户(自由职业者),时间表等。Excel解决方案无法很好地进行扩展。它无法应对多用户使用的场景,也不提供安全和审计日志。因此他们决定构建一个新的基于Web的解决方案。以下是核心要求:
- 搜索自由职业者分类的功能
- 用于存储联系自由职业者的不同渠道的解决方案
- 搜索项目分类的功能
- 搜索客户分类的功能
- 维护合同中自由职业者的时间表
功能需求
用户
-
员工(管理员)
-
员工登陆;员工登陆后可以进行以下操作
-
紧急调度:用于对特殊情况下的服务紧急调度
-
日志管理:员工可以通过查看日志来帮助服务器的维护和服务器的紧急恢复
-
表单维护:员工可以通过检查表单生成信息来确认时间表是否发生冲突
-
表单查询:员工可以通过搜索表单进行客户信息的查询操作
-
合作表单:员工可以多人同时在线对表单进行操作
-
-
自由职业者
-
登陆:用户可以在客户登陆界面进行登陆操作
-
个人信息管理:客户在登陆后可以选择对个人信息进行修改
-
服务信息查询;客户在登陆后可以在查询界面查询自己服务的相关信息
-
用例图

系统模块图

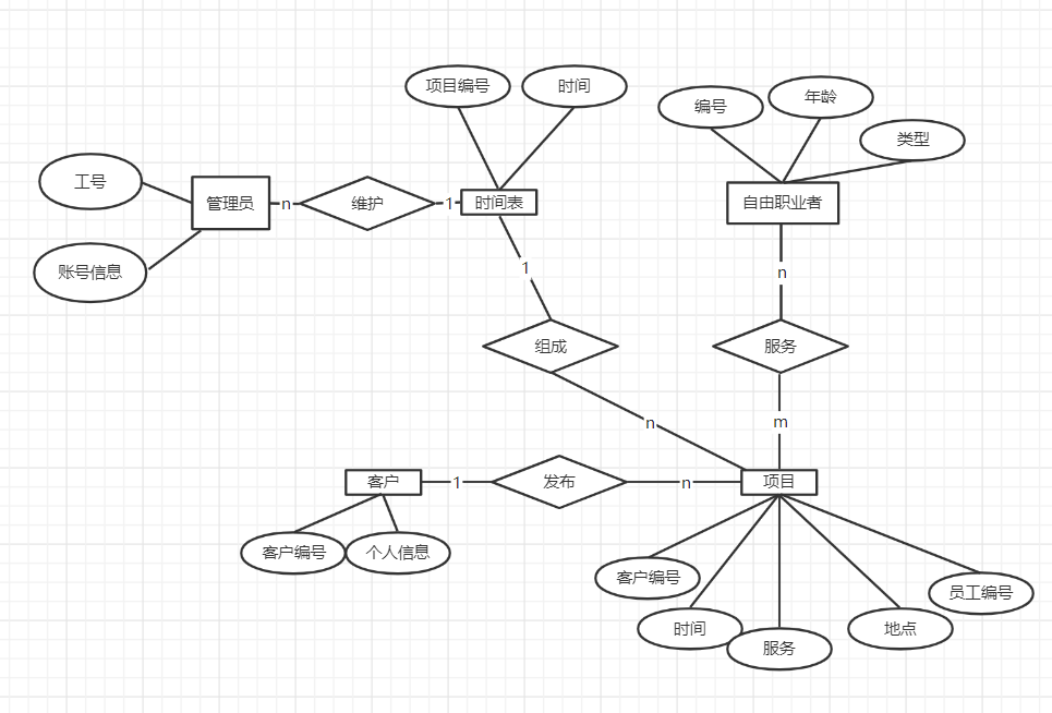
实体联系图

技术需求
- 系统须支持多用户工作
- 系统可以自动备份重要信息
- 系统可生成安全和审计日志以供维护
仓库链接和项目安排表
链接地址:租借管理
截图:
时间表:
| 计划流程 | 开始时间 | 预计周期 |
|---|---|---|
| 需求分析 | 2022/04/10 | 3 天 |
| 系统设计 | 2022/04/13 | 3 天 |
| 概要设计 | 2022/04/16 | 3 天 |
| 详细设计 | 2022/04/19 | 3 天 |
| 编码实现 | 2022/04/21 | 3天 |
| 软件测试 | 2022/04/24 | 3 天 |
如上图所示,此时间表过于紧凑,当发生意外情况时无法灵活调整,并且时间过于死板没考虑工作之间的差异。
| 计划流程 | 开始时间 | 预计周期 |
|---|---|---|
| 需求分析 | 2022/04/10 | 5天 |
| 系统设计 | 2022/04/15 | 5 天 |
| 概要设计 | 2022/04/20 | 4天 |
| 详细设计 | 2022/04/24 | 4 天 |
| 编码实现 | 2022/04/30 | 6天 |
| 软件测试 | 2022/05/04 | 5 天 |
如上图所示,经过将每项流程的时间增加一到两天作为缓冲将大大提高项目的容错率,另特别增加测试和编码的时间。
issue截图:

浙公网安备 33010602011771号