机器学习之SVM(Hinge Loss+Kernel Trick)原理推导与解析
支持向量机(Support Vector Machine, SVM)是一类按监督学习方式对数据进行二元分类的广义线性分类器(generalized linear classifier),其决策边界是对学习样本求解的最大边距超平面。
SVM使用铰链损失函数(hinge loss)计算经验风险(empirical risk)并在求解系统中加入了正则化项以优化结构风险(structural risk),是一个具有稀疏性和稳健性的分类器。SVM可以通过核方法(kernel method)进行非线性分类,是常见的核学习(kernel learning)方法之一 。
因此,hinge loss+kernel trick就是Support Vector Machine。
本文借助了李宏毅机器学习笔记,主要是用通俗易懂的语言来推导出hinge loss和kernel trick。
目录
1.引入Hinge loss
在下面的问题中loss代表每一个样本的损失,Loss代表总的损失。
首先我们需要回顾一下前面所学的二分类问题:假设有一批样本,,,,…,,对应的label分别是:,,,…,,(i=1,2,…,n)有两个取值,-1和1,则Binary Classfication:
if f(x)>0,output=1,属于一个class
if(f(x)<0),output=-1,属于另一个class
在二分类问题中loss function的定义有很多种,其中最理想的loss function定义为:

即若分类正确loss=0,否则loss等于1,那么在这里Loss可以理解分类器在训练集上犯错误的次数。but如果Loss这样定义,是不能求微分的,所以我们换了一种方式,即:

我们以作为横轴,loss作为纵轴,从二分类的定义来看,当f(x)>0时,output=1,即时,f(x)是越大越好的,同理,当时,f(x)是越小越好。 因此,当越大时,loss会越小。 这是我们判断一个loss function好坏的标准。
针对上面这个表达式,我们有以下几种情况可以讨论(加上ideal loss):
1.ideal loss
定义:
这个loss比较好理解,可以直接画出图像:

如图中黑线所示,当>0时,表面分类正确,loss=0,否则等于1。从其图像我们也可以看出,loss是不能进行Gradient Descent的。
2.Square loss
Square loss是用使用MSE来衡量误差,若output=1时,f(x)应该尽量接近1而当output=-1时,f(x)又应该尽量接近于-1,只有这样Square loss才能最小。因此我们可以定义:

可以看出,该表达式是满足MSE定义的,我们画出的图像,如下所图红线示:
前面我们讨论过,当越大时,loss应当会越小。 但是Square loss显然是不符合情况的,这里也可以进一步解释前面我们为什么说不能用Square loss来作为损失函数。
3.Sigmoid+Square loss

Sigmoid函数值域介于01之间,因此当output=1时,应该尽量接近1,而当output=-1时,又应该接近于0,因为其本质还是Square loss,只不过把输出映射到了01之间,因此,我们可以定义

同样画出图像:
从目前来看,该损失函数好像挺合理的,但仔细一想又是不对的。该函数的渐近线是y=1,越往左loss是越大的,但是其斜率是越来越小的。在Gradient Descent中,如果一个位置的loss太大那么它应该更加快速的下降以找到最优解,但是上述函数不符合要求,loss越大下降反而越慢,属于典型的“没有回报,不想努力。”
4.Sigmoid+Cross entropy
在逻辑回归中我们最终选择了交叉熵的形式,这里定义

画出图像:
可以看出,从左到右符合下降的趋势,并且相较与Sigmoid+Square loss,Sigmoid+Cross entropy的loss越大,其梯度越大,情况符合“有回报有努力。”
因此最终看来,Sigmoid+Cross entropy似乎是比较好的选择了。
5. Hinge loss
定义为:

从表达式可以看出,当时,则loss=0;当时,则loss=0。
同样画出图像:

比较Hinge loss和Sigmoid+Cross entropy,比如说我们把黑点从1移动到2,可以发现Sigmoid+Cross entropy其实是可以做得更好的,而Hinge loss只要是大于它的阈值,无论怎么调整loss都不会变。但是当我们有outlier也就是异常值的时候,Hinge loss会给出比Cross entropy更好的结果。 这个后面再解释。
2.线性SVM
Linear SVM与逻辑回归相比,只是loss function有点不同。
1.Step1:定义Function

Function就是线性模型的定义方式,不过我们把定义为新的w,定义为新的x,那么最后。
2. Step2:定义loss function。

Linear SVM的loss function就是Hinge loss+regularization item,也就是加上一个正则化项,二者都是convex function也就是凸函数,相加之后仍为凸函数。
因此线性SVM与逻辑回归相比就是loss function不同,如果使用Hinge loss就是线性SVM,使用Cross entropy就是逻辑回归。
Step3:Gradient Descent
求微分时忽略正则化项。

这里只需要注意Hinge loss对求导时,需要分类讨论。
3.线性SVM的另外一种表述

我们把Hinge loss加上一个正则化项,并令Hinge loss=,对于红框框里面的内容,上下两部分是不一样的,上面的一定是max里面的其中一个值,而下面则表示一个范围。但是当我们最小化L(f)时,二者就是等价的。 这点其实点不好理解,李宏毅老师当初讲的时候我也没太明白,不过最后还是搞明白了。
不妨可以这样理解:最小化L(f),其实就是找到一个最小的,而:

那么在这里,最小其实就是,所以二者等价。
啊啊啊再让我们回到最开始讲的Hinge loss,

在上面这张图里面,Hinge loss的margin是1,而在线性SVM中,我们有:
,在这里margin被放宽了,我们称为松弛因子。也就是Hinge loss与横轴的交点会向左移动。
3.kernel function的引入

前面我们用梯度下降求微分得到上面这个式子,其中就是Hinge loss对的微分,也就是那个分段函数。

这段很重要,一定要注意理解!!!
注意前面我们把定义为了新的w,也就是说w包含了所有参数。回顾一下梯度下降法,我们求得l(f)对w的微分然后求和就是Total loss对w的微分,对x来说上标表示样本序号,下标表示特征序号,那么假设有k个特征,也就是k维,w也就从w1,w2,…,wk。对其中任意一个样本,根据最后微分的结果表达式,我们都可以求得一组w也就是包含k个w的向量。然后对每一个样本都求出这么一个向量,我们再加起来,乘以一个负的learning rate也就是,最后与上一轮的w相加,即得到下一轮更新后的w。
假设我们把看做一个权重系数,从上面这段话我们可以看出来,每次更新w时我们都对原来的w加上了一个的线性组合!!! 也就是求和那一项。
是损失函数对的导数。假设我们的损失函数采用Hinge loss,往往就是0。因为Hinge loss:

从上面表达式我们可以看出,当为0时候,就是0。不妨定义:
也就是说w是所有data points的一个线性组合,这个我们在上面已经说明过了。既然这个权重也就是上面表达式里面的是有可能为0的,也就是说,不是所有的所有的点都会加到这个新的向量里面去,也即是说可能会是稀疏的,因为它可能有很多0嘛。
有点晕,再理一理:

从上面这个表达式可以看出来,可能有的我们代入后呢,可能使得1+ or 小于0,那么此时的Hinge loss取最大值,就是0,那么再求导得到的也就是上面表达式里面的,也就是等于0的,但是不是所有的代入都会导致其最终结果是0,那么这些使得最终结果不为0的那些我们就称之为Support Vector,即支持向量。
这一模型有什么好处呢?答案是具有较强的鲁棒性。 不是支持向量的数据点,就算去掉也不会对结果有影响,因为它的结果是0嘛,所以对更新后的w是没有一点影响的,而异常点只要不是支持向量,就不会对结果有影响。反观logistic regression(用cross entropy作损失函数),它在更新参数时的永远不会为0,权重就不是稀疏的,所以每个data都对结果有影响。
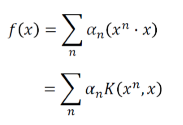
然后引入核函数:

上面的就是把每一个样本数据代入然后对w求导数得到的,把所有的这些导数组成一个向量,我们命名为α,需要知道,α里面是有些数据是0,这个上面也讲到过。又令X为所有样本组成向量的转置,于是更新后的w就可表示成:。
而最开始我们定义的函数集为:

因此最终:

其中是测试集里面的样本。

因此就可以写成上面这个式子,其中核函数表示对括号里面那个向量求inner product也就是内积。
1. function set

2.损失函数+训练

其实学到这里,感觉有一点晕了,就很多乱七八糟的向量相乘,要么是不知道这个向量表示什么,要么就是不知道这个向量的维度是什么,索性我就找张纸重新推一推,如下所示:

算是思路重新理清了。
因此最小化loss function其实就是找到一组α使得loss function最小,因为内积那部分是已知的。
3.kernel trick
为什么使用核技巧?
从前面的学习中我们可以看出来,SVM构建的是一个线性的决策边界,从而把数据集分到各自的类中,如果数据集是一个非线性的,直接使用SVM,得不到一个理想的结果,那么使用线性分类器求解非线性分类问题,需要特殊的处理:
- 首先,使用一个变换将原空间的数据映射到新空间中
- 然后,在新空间中使用线性分类器求解
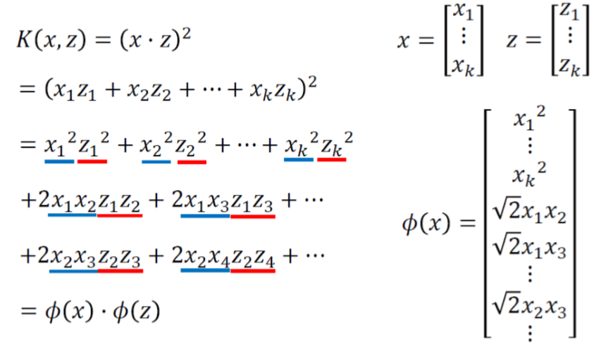
假设每一个样本都是二维的,我们想要把它映射到三维(可能映射到三维就可以使用线性分解器求解了),就需要进行feature transformation也就是特征转换,如下所示:

是进行特征转换后的x,假设我们要计算,这其中都是映射到高维的样本,然后一系列推导我们发现:
样本映射到高维后再进行inner product等于没映射前进行inner product后再平方, 这一发现可以使我们简化运算。
假设x,z不是2维,而是高维,想要将它投影到更高的一个空间,就会考虑所有点两两之间的关系:

我们此时要求映射到高维后的的核函数,就可以先在低维求inner product然后再平方。因为要考虑所有所有点两两之间的关系,所以映射后的维度是维,假设k很大,则高维的维度已经特别大了,因此我们至少简化了次运算。
4.Radial Basis Function Kernel
RBF kernel即径向基核函数。
这个时候定义核函数为:

即距离乘上-0.5再取exp函数。这个函数是衡量的相似度,若二者很相似,exp后就越靠近1。(完全一致就是1,完全不一致就是0)。按照上面的思路,我们依旧把化成两个映射到高维后的向量的inner product,即:

是映射函数。

对RBF核函数变形,可以看出它有无穷多项,那么映射之后也是无穷多项,这根本没法算inner product,但是我们不需要算,我们只需要算距离乘上-0.5再取exp就行了。
5.Sigmoid Kernel

这里把Sigmoid Kernel看成了一个单层的神经网络,神经元个数就是support vector的个数(其他为0,不用考虑),我们测试的x要与训练集中每一个x求内积,激活函数这里就是tanh函数了,最后还要乘上系数α,因此这个单层的神经网络的结构其实是很好理解的。
综上所述,我们可以直接设计而不是考虑映射到高维后的,,因为当x是像序列这样的结构化对象时,是很难设计高维的,核方法的好处就是可以直接去设计核函数不用考虑x和z的特征长什么样。

浙公网安备 33010602011771号