无向图的最小环问题 (Floyd算法)
问题描述:
解题思路:
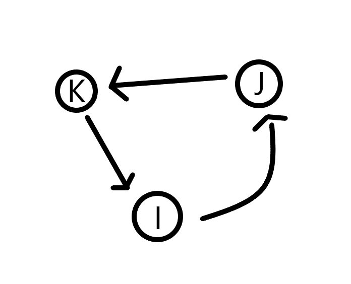
我们首先假设存在这么一个不少于三个点的环,那么他肯定是由这么至少三个点组成的:
- k k k 点,环中编号最大的点。
- i i i 点和 j j j 点,图中与 k k k 直接相连的两个不相同的点。
他们的大概结构如图:

此时,若这三个点共环,那么肯定存在一条
i
∼
j
i\sim j
i∼j 的路径,使得
i
−
>
j
i~~->j
i −>j。

同时,肯定存在各一条边使得
k
−
>
i
k~~->i
k −>i 以及
j
−
>
k
j~~->k
j −>k

知道了环中三点的关系,我们就能通过枚举
k
i
j
k~~~i~~~j
k i j 来求出所有环的大小。
设
g
i
,
j
g_{i,j}
gi,j 表示
i
i
i 到
j
j
j 的一条直接边的边权。
d
i
s
i
,
j
dis_{i,j}
disi,j 表示
i
i
i 到
j
j
j 的最短路径。
则有环的大小为:
d
i
s
i
,
j
+
g
k
i
+
g
j
k
dis_{i,j}+g_{k_i}+g_{j_k}
disi,j+gki+gjk。
我们计算出了所有环的大小,只需要找到一个最小的环即为答案,这一系列过程可以在 F l o y d Floyd Floyd 中实现。
- 这里有一个值得注意的地方,为什么 i i i 和 j j j 要选与 k k k 相邻的点呢?选与 k k k 之间存在路径的两个点好像也可以吧。其实,若 k k k 到 i i i 的路径中包含了 i − > j i~~->j i −>j 或 k − > i k~~->i k −>i 的路径中的任何一点,那么显然这种情况下无法构成环或最优的环。

为了使环中的路径不经过环中其他路径,我们选择将
i
i
i 和
j
j
j 定为与
k
k
k 相邻的点。
for(int k=1;k<=n;k++)
{
for(int i=1;i<=k-1;i++)
/*由于固定了k为环中最大的点,显然不能有点大于k的点,
由于floyd的机制,执行到这里dis[i][j]中的最短路显然不会包含比k大的点,符合题目要求*/
for(int j=i+1;j<=k-1;j++)
ans=min(ans,dis[i][j]+g[j][k]+g[k][i]);
for(int i=1;i<=n;i++)
for(int j=1;j<=n;j++)
dis[i][j]=min(dis[i][j],dis[i][k]+dis[k][j]);
}
CODE:
#include <iostream>
#include <cstring>
using namespace std;
int n,m;
int g[110][110];
int dis[110][110],ans;
int main()
{
cin>>n>>m;
int a,b,c;
memset(dis,0x3f/2,sizeof(dis));
memset(g,0x3f/2,sizeof(g));
for(int i=1;i<=m;i++)
{
cin>>a>>b>>c;
g[a][b]=g[b][a]=min(g[b][a],c);
dis[a][b]=dis[b][a]=min(dis[b][a],c);
}
ans=0x7ffffff;
for(int k=1;k<=n;k++)
{
for(int i=1;i<=k-1;i++)
for(int j=i+1;j<=k-1;j++)
ans=min(ans,dis[i][j]+g[j][k]+g[k][i]);
for(int i=1;i<=n;i++)
for(int j=1;j<=n;j++)
dis[i][j]=min(dis[i][j],dis[i][k]+dis[k][j]);
}
if(ans==0x7ffffff) cout<<"No solution.";
else cout<<ans;
return 0;
}

浙公网安备 33010602011771号