网络安全
网络通信中面临的4种安全威胁
截取:窃听通信内容中断:中断网络通信篡改:篡改通信内容伪造:伪造通信内容
网络层 - ARP欺骗
ARP欺骗(ARP spoofing),又称ARP毒化(ARP poisoning)、ARP病毒、ARP攻击ARP欺骗可以造成的效果- 可让攻击者获取局域网上的数据包甚至可篡改数据包
- 可让网络上特定电脑之间无法正常通信 (例如网络执法官这样的软件)
- 让送至特定
IP地址的流量被错误送到攻击者所取代的地方 - 等等
核心步骤举例
防护
- 静态
ARP DHCP Snooping:网络设备可以借由DHCP保留网络上各电脑的MAC地址,在伪造的ARP数据包发出时即可侦测到- 利用一些软件监听
ARP的不正常变动
Dos、DDoS
DoS攻击(拒绝服务攻击,Denial-Of-Service attack): 使目标电脑的网络或系统资源耗尽,使服务暂时中断或停止,导致其正常用户无法访问DDoS攻击(分布式拒绝服务攻击,Distribution Denial-Of-Service attack):黑客使用网络上两个或以上被攻陷的电脑作为“僵尸(肉鸡)”,向特定的目标发动DoS攻击 > 2018年3月,GitHub遭到迄今为止规模最大的DDoS攻击DoS攻击可以分为2大类- 带宽消耗型:
UDP洪水攻击、ICMP洪水攻击 - 资源消耗型:
SYN洪水攻击、LAND攻击
- 带宽消耗型:
防御
-
防御方式通常为:入侵检测、流量过滤和多重验证,堵塞网络带宽的流量将被过滤,而正常的流量可正常通过 -
防火墙- 防火墙可以设置规则,例如允许或拒绝特定通讯协议,端口或IP地址
- 当攻击从少数不正常的IP地址发出时,可以简单的使用拒绝规则阻止一切从攻击源IP发出的通信
- 复杂攻击难以用简单规则来阻止,例如80端口遭受攻击时,不可能拒绝端口所有的通信,因为同时会阻止合法流量
- 防火墙可能处于网络框架中过后的位置,路由器可能再恶意流量到达防火墙前即被攻击影响
-
交换机:大多数交换机有一定的速度限制和访问控制能力 -
路由器:和交换机类似,路由器也有一定的速度限制和访问控制能力 -
黑洞引导:将所有受攻击计算机的通信全部发送至一个“黑洞”(空接口或不存在的计算机地址)或者有足够能力处理洪流的网络设备商,以避免网络受到较大的影响 -
流量清洗:当流量被送到DDoS防护清洗中心时,通过采用抗DDoS软件处理,将正常流量和恶意流量区分开,正常的流量则回注回客户网站
传输层 — SYN洪水攻击
- SYN洪水攻击(SYN flooding attack) 攻击者发送一系列SYN请求到目标,然后让目标因收不到ACK(第三次握手)而进行等待、消耗资源
- 攻击方法
- 跳过发送最后的ACK信息
- 修改源IP地址,让目标送SYN-ACK到伪造的IP地址,因此目标永不可能收到ACK(第三次握手)
- 防护,参考RFC 4987
传输层 — LAND攻击
应用层 - DNS劫持
HTTP协议的安全问题
HTTP协议默认是采取明文传输的,因此会有很大的安全隐患,常见的提高安全性的方法是:对通信内容进行加密后,再进行传输
常见的加密方式
不可逆
- 单向散列函数: MD5、SHA等
可逆
- 对称加密:DES、3DES、AES等
- 非对称加密:RSA 等
其他
- 混合密码系统
- 数字签名
- 证书
常见英文
encrypt(加密) decrypt(解密) plaintext(明文) ciphertext(密文)
人物设计
如何防止被窃听?
单向散列函数
单向散列函数(One-way hash function):可以根据消息内容计算出散列值 散列值的长度和消息的长度无关,无论消息是1bit、10M、100G,单向散列函数都会计算出固定长度的散列值
散列函数特点
散列函数称呼 
常见的几种单向散列函数
如何防止数据被篡改 对比两天的文件,显然不现实,根据文件计算出散列值,看两天的对比是否一致
应用 网站RealVNC提供一个散列值(SHA-256),下载完成后文件进行散列对比,如果一直,证明在镜像下载的文件没有问题
进行数据库的账户密码存储,用户注册时候,数据层存储的密码应该是进行加密后的密码
如何加密解密?
对称加密/非对称加密 主要就是密钥、算法,接下来我们也重点关注这两项
对称加密(又称对称密码)
在对称加密中,加密、解密时使用的是同一个密钥 常见的对称加密算法有 DES、3DES、 AES
DES (Data Encryption Standard)
3DES(Triple Data Encryption Algorithm)
AES (Advanced Encryption Standard)
- 取代
DES成为新标准的一种对称加密算法,又称Rijndael加密算法 AES的密钥长度有128、192、256bit三种- 目前
AES,已经逐步取代DES、3DES,成为首选的对称加密算法 - 一般来说,我们也不应该去使用任何自制的密码算法,而是应该使用
AES,它经过了全世界密码学家所进行的高品质验证工作
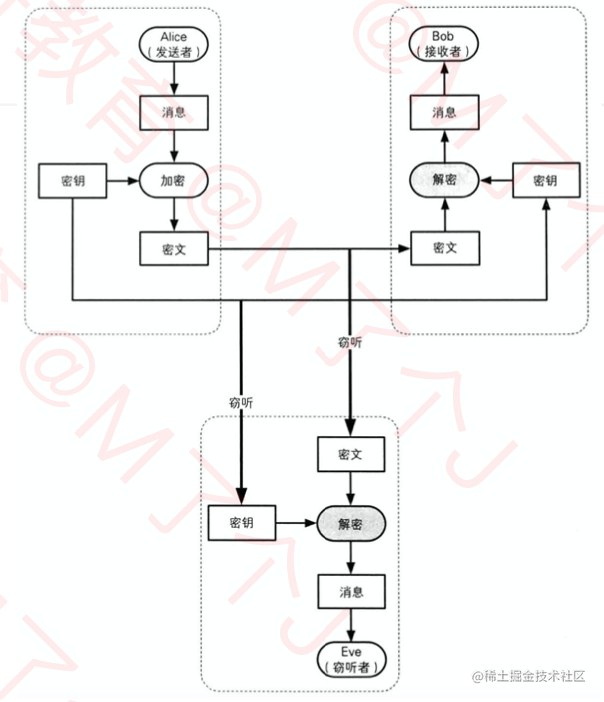
密钥配送问题
- 使用对称加密时,一定会遇到密钥配送的问题
- 如果Alice将使用对称加密过的消息发送给了Bob,只有将密钥发送给Bob,Bob才能完成解密,但是在发送过程中,密钥可能被Eve窃取,最后Eve也能完成解密
如何解决密钥配送问题?
- 事先共享密钥 (比如私下共享)
- 密钥分配中心 (key Distribution Center, 简称KDC)
- Diffie-Hellman密钥交换
- 使用
非对称加密配送
非对称加密 (Asymmetric Cryptography)
- 在非对称加密中,密钥分为
加密密钥、解密密钥2种,它们并不是同一个密钥 - 加密密钥:一般是公开的,因此该密钥成为
公钥(public key),因此非对称加密也被成为公钥秘密(Public-key Cryptography) - 解密密钥:由消息接收者自己保管的,不能公开,因此也称为
私钥(Private Key)
公钥、私钥
- 公钥和私钥是一一对应的,不能单独生成,一对公钥和私钥统称为
密钥对(key pair) - 由
公钥加密的密文,必须使用与该公钥相应的私钥才能解密 - 由
私钥加密的密文,必须使用与该私钥相应的公钥才能解密(用于签名认证)
解决密钥配送问题
-
由消息的
接收者,生成一对公钥、私钥 -
将公钥发给消息的发送者 * 消息的发送者使用公钥加密消息,消息的接收者使用私钥解密消息
-
非对称加密的加密速度比对称加密要慢
RSA
- 目前使用最广泛的非对称加密算法是RSA
- RSA的名字是由它的三位开发者的姓氏首字母组成
混合密码系统 (Hybrid Cryptosystem)
- 对称加密的缺点:不能很好的解决密钥配送问题(密钥会被窃听)
- 非对称加密的缺点:加密解密速度比较慢
- 混合密码系统:是将对称加密和非对称加密的优势相结合的方法
解决了非对称加密速度慢的问题
并通过非对称加密解决了对称加密的密钥配送问题
- 网络上的密码通信所用的
SSL/TLS都运用了混合密码系统
加密
解密
加密解密流程
数字签名
想象以下场景
过程
由于加密整条消息,信息量大而且非对称机密速度慢,因此进行了改进,求出消息的散列值(具有唯一性)进行加密
改进过程
疑惑
公钥、私钥总结
证书
如果遭遇了中间人攻击,那么,公钥将可能是伪造的,如何验证公钥的合法性? 证书
证书使用
- 各大
CA的公钥,默认已经内置在浏览器和操作系统中,也就避免了获取证书的公钥再度被劫持

浙公网安备 33010602011771号