4.矩阵计算 [跟着沐神-动手学深度学习]
如何将矩阵计算应用于机器学习
基本概念
在实际应用中,矩阵在机器学习和深度学习领域中,发挥着不可或缺的作用。
机器学习的诸多算法,如线性回归、神经网络、卷积神经网络和循环神经网络等,本质上都依赖于矩阵算法,可使用矩阵来表示数据集、特征空间和权重矩阵等。
在机器学习中,数据通常以矩阵的形式表示。例如,拥有m个样本,每个样本有n个特征的数据集,表示为m*n。
算法实现
一个简单的全连接层可以表示为 Y = f(WX + b),其中X是输入矩阵,W是权重矩阵,b是偏置向量,f是激活函数。通过这种方式,矩阵运算成为连接神经网络各层的桥梁。
标量导数


梯度
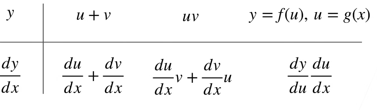
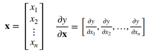
将导数拓展到向量
X为向量,y为向量,
为:


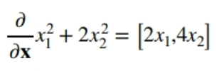
样例



浙公网安备 33010602011771号