LPMM阅读笔记——第1章 引言
LPMM阅读笔记(1)
======================================================以下正文=================================================================
《Low Power Methodology Manual For System-on-Chip Design》读书笔记
1 引言
1.1 功耗带来的问题
随着芯片的工艺技术缩小到90nm及以下,我们可以在一个相当小的芯片上实现数千万门,但是这也导致芯片的功耗密度和总功耗急剧增大,对芯片后续的设计级应用中的封装和散热都提出了更高的挑战,在一些65nm设计中,漏电流几乎与动态电流一样大;这使得芯片的功耗问题在最近几年越来越被人们所重视。
书中举例提到:
1、一些最强大的微处理器芯片的功耗可达100-150W,平均功耗密度为50-75,芯片上的局部热点可能比这个数字高几倍,总功率密度不仅带来封装和散热难题,它也可能造成可靠性问题。
2、对于电池供电的手持设备而言,芯片的功耗高低则意味着设备的续航时间和电池的寿命长短。
1.2 功耗Vs能量
这一节主要讲的时功耗与能量的区别:如图 1所示:
功耗是指设备中的瞬时功率;能量则是功耗曲线下的面积——功耗随着时间变化的积分。
图 1功耗Vs 能量
芯片的功耗分为静态功耗和动态功耗两部分,下面进行分别说明;
1.3 动态功耗
动态功耗是电路在工作时(信号的值有变化)的功耗,包含开关功耗和短路功耗;
1.3.1 开关功耗
如图 2所示,当IN = 0时,上面的PMOS导通,下面的NMOS截止;Power对负载电容进行充电,充电完成后,Vout的电平为高。
当IN= 1时,上面的PMOS截止,下面的NMOS导通,负载电容通过NMOS进行放电,放电完成后,Vout的电平为低。
系统工作时,会不停的重复上述开关过程,电源对负载电容进行充电,负载电容进行放电就产生了开关功耗;
图 2开关损耗
书上给出了开关功耗Pswitch(书上用Pdyn表示,我在这里改用Pswitch表表示)的计算公式如下所示:
Pswitch = Energy transition • f = CL •Vdd • Ptrans • fclock
在上式中,CL为后级等效电路的负载电容大小,Vdd为电源电压,Ptrans 占空比,fclock为输入信号的翻转频率;
1.3.2 短路功耗
我们在对电路进行分析时,通常会认为信号的翻转是瞬时完成的,但在物理电路上信号的翻转不可能瞬时完成,所以在CMOS电路中就不可能总是一个截止另外一个导通,在控制信号变化期间会出现PMOS和NMOS同时导通的情况,此时电源VDD到地VSS之间相当于短路,便会出现短路电流,如图 3所示:
图 3短路功耗
书上给出了短路功耗(我用Pshort表示)的等效计算公式:
Pshort = tsc •Vdd • I peak • fclock
在上式中,tsc是短路电流的持续时间,I peak是MOS管内部总电流(短路电流加上充电内部电容所需的电流)。
则总的动态功耗Pdyn为:
Pdyn = (CL •Vdd • Ptrans • fclock)+ (tsc •Vdd • I peak • fclock )
从上面的公式中可以看出降低动态功耗的思路,可以从Vdd、fclock和CL这几个变量上出发。基于此会带来一系列设计架构、设计流程、时序分析、电路设计、后端布局方面的考虑,以及由于工艺的发展带来的一系列问题,在后续章节中会详细讲解这些内容。
1.4 静态功耗
静态功耗是在电路上电但没有信号翻转时的功耗,对CMOS电路而言,静态功耗主要是由漏电流导致,漏电流有下面几个部分组成:
-
亚阈值漏电流
-
栅极漏电流
-
栅极和衬底之间的隧道漏电流
-
PN结反向电流
图 4漏电流
上述几个电流在电路中的流向如图 4所示,在图4中标注出来的都很好理解,对于Isub我没太看懂,我的理解是当我们在栅极上加电压信号后,栅极与衬底之间会存在电容,因此在栅级与衬底之间就会有电流存在,由此产生功耗,且随着我们的工艺变小,栅极与衬底间的绝缘层会变得越来越薄,栅极和衬底之间的隧道漏电流会变得越来越大;为了加深理解我将上述几个电流对应到NMOS管的结构图上,得到的结果如图 5所示;
图 5漏电流在NMOS中的流向
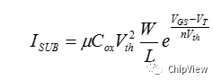
由于亚阈值漏电流对静态功耗的影响较大,仅对亚阈值漏电流进行简单介绍,其余的在此不做介绍;当Vg<Vth时,虽然MOS管没有导通,但是仍会产生从漏极道源极的电流,称该电流为亚阈值漏电流;晶体管的越窄,亚阈值漏电流越大,亚阈值漏电流还与温度增加呈指数增长,亚阈值漏电流可用下面的表达式来表示:
其中,W和L表示晶体管的尺寸,Cox为栅极氧化层的电容值,Vth为晶体管的阈值电压。
书中提到了有下面几种方法可以降低静态功耗:
-
Multi-Vt和power gating,这两种方法后面会详细介绍。
-
VTCMOS(可变阈值CMOS):该方法是在衬底上加上一个反向偏置电压,以增加VT,来减小Isub,但是这样会额外多两个电源网络,增加库的复杂度。
-
Stack Effect:这种方法是采用叠加的gate,加入叠加的gate中有两个输入都是关闭状态,那么流过两个gate的静态电流会很小。在理论上,应该在关闭时钟前将所有gate输入置为关闭状态,但在现实中,这是不可实现的。
-
长沟道器件(Long ChannelDevices):从的表达式可以看出,增大L,可以减小Isub,但是长沟道器件的动态性差,会降低系统的性能,因此,仅在信号翻转率较低的情况下考虑使用。
============正文结束===========
扫描下面的二维码,阅读其他章节。

浙公网安备 33010602011771号